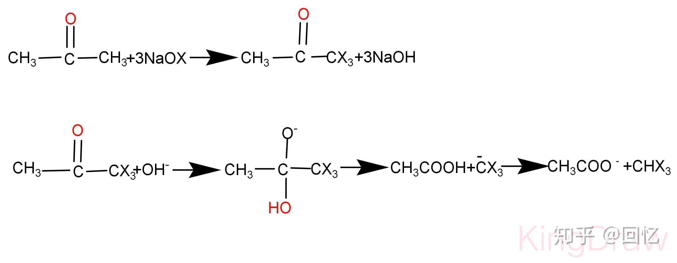
碘仿反应机理

少一个c的羧酸④应用:鉴定甲基酮结构,碘仿是黄色沉淀⑤机理一般不会
图片尺寸1080x614
碘仿反应的新用途
图片尺寸550x124
碘仿反应条件
图片尺寸640x342
卤仿反应机理图
图片尺寸717x458
碘仿反应条件
图片尺寸640x340
碘仿反应又加酸后生成的a是什么?
图片尺寸450x253![推断下列物质中能发生碘仿反应的有 [ ] a. c](https://i.ecywang.com/upload/1/img2.baidu.com/it/u=601190691,2637587770&fm=253&fmt=auto&app=138&f=GIF?w=357&h=122)
推断下列物质中能发生碘仿反应的有 [ ] a. c
图片尺寸357x122
反应机理
图片尺寸463x230
常用试剂----碘_反应
图片尺寸633x298
如何判断化合物是否发生碘仿反应? - 知乎
图片尺寸2319x900
碘仿反应其他化合物相关
图片尺寸690x517
如何判断化合物是否发生碘仿反应
图片尺寸1572x460
医用化学/醛和酮
图片尺寸484x241
有旋光性的物质a(分子式c10h12o3),能溶于稀碱溶液,并能发生碘仿反应
图片尺寸1184x396
乙酰乙酸乙脂合成法制备2庚酮化学方程式以及碘仿反应化学方程式
图片尺寸450x218
碘仿反应条件是什么?
图片尺寸640x256
碘的相关化学反应及应用
图片尺寸505x353
o ch3cc6h5oh 七, 下列化合物中那些能发生碘仿反应?
图片尺寸602x358
化学反应方程式碘仿反应的化学反应方程式具体怎么写
图片尺寸500x375
碘仿反应的条件探究
图片尺寸800x1167