离散系统伯德图
![系统的开环传递函数 g(s)=k/[s(t1*s 1)*(t2*s 1)] (t1>t2),画出伯德](https://i.ecywang.com/upload/1/img2.baidu.com/it/u=3798344009,751352735&fm=253&fmt=auto&app=138&f=JPEG?w=720&h=430)
系统的开环传递函数 g(s)=k/[s(t1*s 1)*(t2*s 1)] (t1>t2),画出伯德
图片尺寸720x430
量化投资_连续数据的离散化
图片尺寸371x445
只有这张伯德图,能求出系统的开环传递函数么?
图片尺寸500x307
伯德图
图片尺寸960x510
如下为伯德图,其中紫色为环路系统增益随频率变化的曲线,绿色为环路
图片尺寸1035x834
电力电子模型频率响应估计
图片尺寸1000x594
自控原理实验控制系统的伯德图
图片尺寸902x585
伯德图
图片尺寸609x510
控制系统伯德图
图片尺寸1475x869
伯德图的绘制详解附考研真题解析
图片尺寸538x416
系统的频域特性实际上就是在研究这个函数在不同频率的输入信号下它的
图片尺寸1013x564
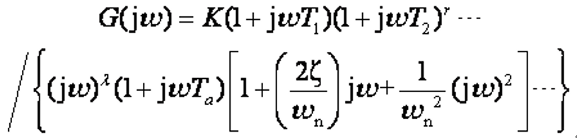
r是时刻与hc的量进行比较的参考电压;g是系统正相电路中的所有增益
图片尺寸928x643
控制系统的典型环节
图片尺寸900x760
matlab伯德图绘制_bode plots(伯德图) – 源码巴士
图片尺寸1080x865
p data-id="gnbi4z43a0">伯德图是系统 a target="_blank" href="
图片尺寸816x196
bode伯德图,看什么频率的时候,系统不稳定
图片尺寸1072x484
图2 伯德图
图片尺寸220x111
斯特图上表现为实轴上一个点,在伯德图中表现为与频率无关的两条直线
图片尺寸886x464
自动控制原理中的伯德图求法
图片尺寸450x351
控制系统的频域分析_bodeppt
图片尺寸1080x810