立方差公式

梳理 (1)平方差公式 (2)完全平方公式 (3)立方和公式 (4)立方差公式
图片尺寸1080x810
立方差公式doc
图片尺寸920x1302
立方差公式是什么
图片尺寸600x240
专题2立方和差公式和差的立方公式必讲张俊之欧阳物创编
图片尺寸920x1301
立方差公式doc
图片尺寸920x1302
1一20的立方表
图片尺寸600x400
立方差公式
图片尺寸498x476
特别是下面这份数学公式,全都是小学数学1-6年级必学的知识点,保存
图片尺寸690x893
2,立方差公式 a^3-b^3=(a-b)(a^2 ab b^2).
图片尺寸640x318
立方计算公式
图片尺寸640x341
初二数学立方差公式
图片尺寸920x1303
3.4 立方和与立方差公式.doc
图片尺寸993x1404
展开全部 立方差公式,参考下图: 向左转 向右转
图片尺寸916x365
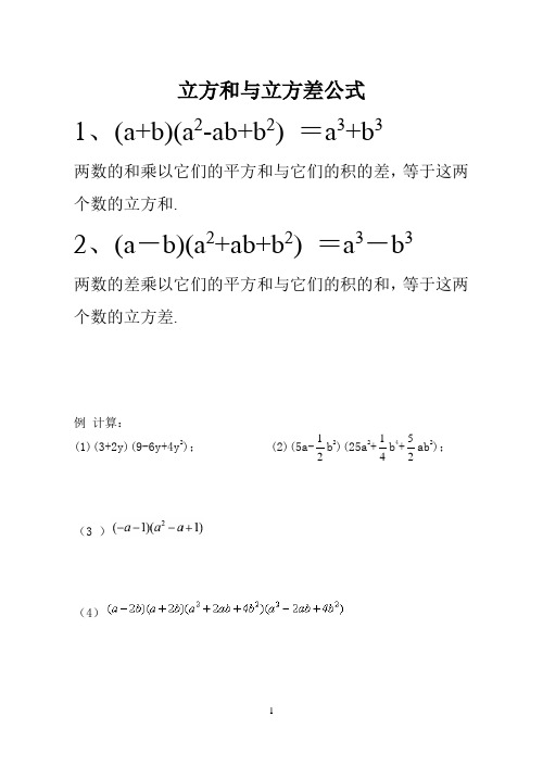
立方和与立方差公式 1,(a b)(a2-ab b2)=a3 b3 两数的和乘以它们的
图片尺寸500x706
(附立方和,差公式)
图片尺寸611x324
立方差公式,对于一般的n次方差公式,n次方和公式也是有的.
图片尺寸720x638
立方和公式 立方差公式 三项立方和公式 推导过程: 完全立方公式 (a-b
图片尺寸496x702
两数差立方公式
图片尺寸500x229
立方差公式:a3-b3=(a-b)(a2 ab b2) 推导过程 1.
图片尺寸496x702
立方差公式doc
图片尺寸920x1302