米氏方程

米氏方程
图片尺寸671x578
浓度关系的数学方程式,即米 - 曼氏方程式,简 称米氏方程式(michaelis
图片尺寸1080x810
双倒数作图法米氏方程
图片尺寸920x1302
【生物化学】求米氏方程式推导过程
图片尺寸500x380
大量的定量研究,积累了足够的实验数据, 提出了酶促反应的动力学方程
图片尺寸1080x810
米氏方程ppt
图片尺寸1080x810
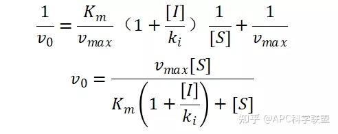
五.可逆抑制条件下的米氏方程
图片尺寸492x196
michaelismenten米氏方程
图片尺寸560x241
634米氏方程双倒数作图
图片尺寸1410x1078
酶动力学和抑制作用ppt
图片尺寸1080x810
为什么反竞争性抑制剂和非竞争性抑制剂的km变化不同
图片尺寸1536x2048
学ppt 第11页 (共99页,当前第11页) 你可能喜欢 酶动力学 米氏方程 酶
图片尺寸1080x810
米氏方程
图片尺寸1080x810
一,米氏方程的推导
图片尺寸1004x644
文档 所有分类 高等教育 农学 第四节 酶促反应动力学ppt 3,米氏方程
图片尺寸1080x810
matlab米氏方程作图双倒数作图法米氏方程
图片尺寸400x291
怎样用米氏方程推导出竞争性抑制方程
图片尺寸553x678
图4-10 双倒数作图法
图片尺寸1652x1231
活性污泥米氏方程莫诺特方程和霍氏方程
图片尺寸960x720
米氏方程如何推导
图片尺寸720x1280