糖水不等式

糖水不等式
图片尺寸1080x617
451糖水不等式
图片尺寸720x1301
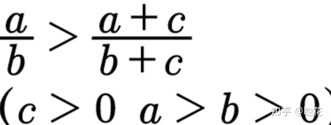
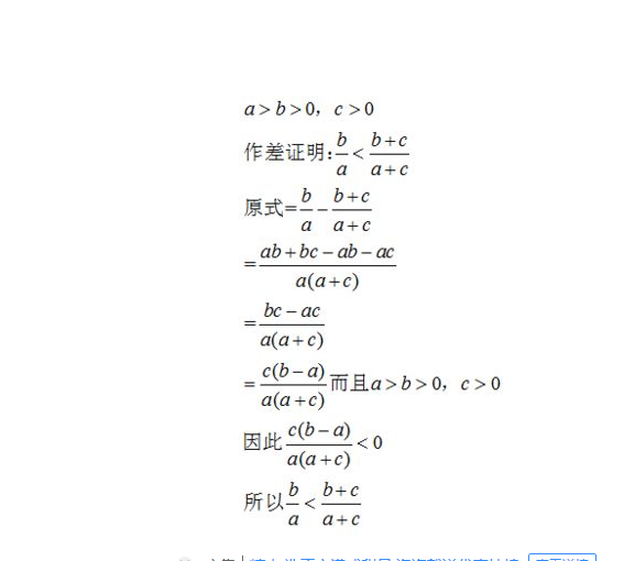
一杯糖水加一勺糖后变得更甜了,列一分式不等式
图片尺寸370x217
糖水不等式你知道吗?名师用三种方式带你理解,快来学习吧!
图片尺寸864x486
糖水不等式及其变形
图片尺寸1080x1413
糖水不等式
图片尺寸1024x576
糖水不等式(其他数学相关)
图片尺寸275x412![函数不等式1[已更新,见最后图]:一个形似糖水不等式的"对数糖水不等式](https://i.ecywang.com/upload/1/img0.baidu.com/it/u=4277827320,3237090001&fm=253&fmt=auto&app=138&f=JPEG?w=500&h=667)
函数不等式1[已更新,见最后图]:一个形似糖水不等式的"对数糖水不等式
图片尺寸3024x4032
糖水不等式秒杀2020理科数学全国三卷t12题(文科t10题)!
图片尺寸1158x439
数学杂谈之糖水不等式
图片尺寸1195x801
糖水不等式
图片尺寸567x510
97有趣的不等式—糖水不等式!
图片尺寸960x540
高中数学糖水不等式大招
图片尺寸1080x810
数学杂谈之糖水不等式
图片尺寸1187x615
甜甜的糖水不等式
图片尺寸612x379
【每日一题】第二十九题:糖水不等式 #管综数学 #高分指南 #朱曦数学
图片尺寸1920x1080
不等式糖水问题ppt
图片尺寸800x600
趣说强大的糖水不等式及其再思考
图片尺寸443x342
糖水不等式,你学会了么
图片尺寸2767x1728![[新高一/初高中衔接] 糖水不等式应该怎么用,举例说明#不等式专题](https://i.ecywang.com/upload/1/img1.baidu.com/it/u=1986332332,2601498353&fm=253&fmt=auto&app=120&f=JPEG?w=800&h=500)
[新高一/初高中衔接] 糖水不等式应该怎么用,举例说明#不等式专题
图片尺寸2744x1716