羧甲基

羧甲基纤维素钠cmc培养基
图片尺寸1278x1278
羧甲基壳聚糖,carboxymethyl chitosan
图片尺寸550x343
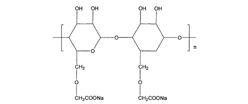
羧甲基纤维素钠
图片尺寸508x452
羧甲基
图片尺寸300x300
p>羧基(carboxy),是 a target="_blank" href="/item/有机化学/3491"
图片尺寸1136x758
专业供应分析纯:羧甲基纤维素 ar500g
图片尺寸446x296
羧甲基β环糊精218269342
图片尺寸605x375
国药试剂集团 羧甲基纤维素钠 cp级 粘度800-1200 500克
图片尺寸800x800
羧甲基-β-环糊精
图片尺寸1078x1054
羧甲基淀粉钠
图片尺寸465x275
羧甲基纤维素
图片尺寸605x375
羧基结构式
图片尺寸640x341
羧甲基壳聚糖的主要药理作用
图片尺寸491x263
s羧甲基l半胱氨酸羧甲司坦
图片尺寸605x375
羧甲基Β-葡聚糖钠
图片尺寸445x390
p>交联羧甲基纤维素钠为无味,白色或灰白色粉末.
图片尺寸938x393
维可素 cmc ----- 羧甲基纤维素
图片尺寸562x201
甲壳素,壳聚糖,羧甲基壳聚糖结构式
图片尺寸575x338
河南化工 食品级 羧甲基纤维素钙 增稠剂
图片尺寸661x450
羧甲基纤维素钠
图片尺寸300x284