聚砜结构式

聚砜 分子结构式
图片尺寸480x121
聚砜
图片尺寸800x183
但作为工程塑料的聚砜在结构中要含有芳核(苯核)和砜键相联结而成的键
图片尺寸635x942
pes,性能与耐热 a target="_blank" href="/item/聚砜">聚砜 /a>相同
图片尺寸563x198
(a)聚醚砜的分子式;(b)聚醚砜平板膜断面的扫描电镜照片;(c)聚醚砜中
图片尺寸1575x965
聚砜树脂
图片尺寸500x566
聚砜
图片尺寸960x633
聚砜树脂结构式图片
图片尺寸605x375
聚砜的结构
图片尺寸350x200
p data-id="gnzrn2cbma">主要用作工程塑料聚砜的原料,也用于生产4,4
图片尺寸1000x1013
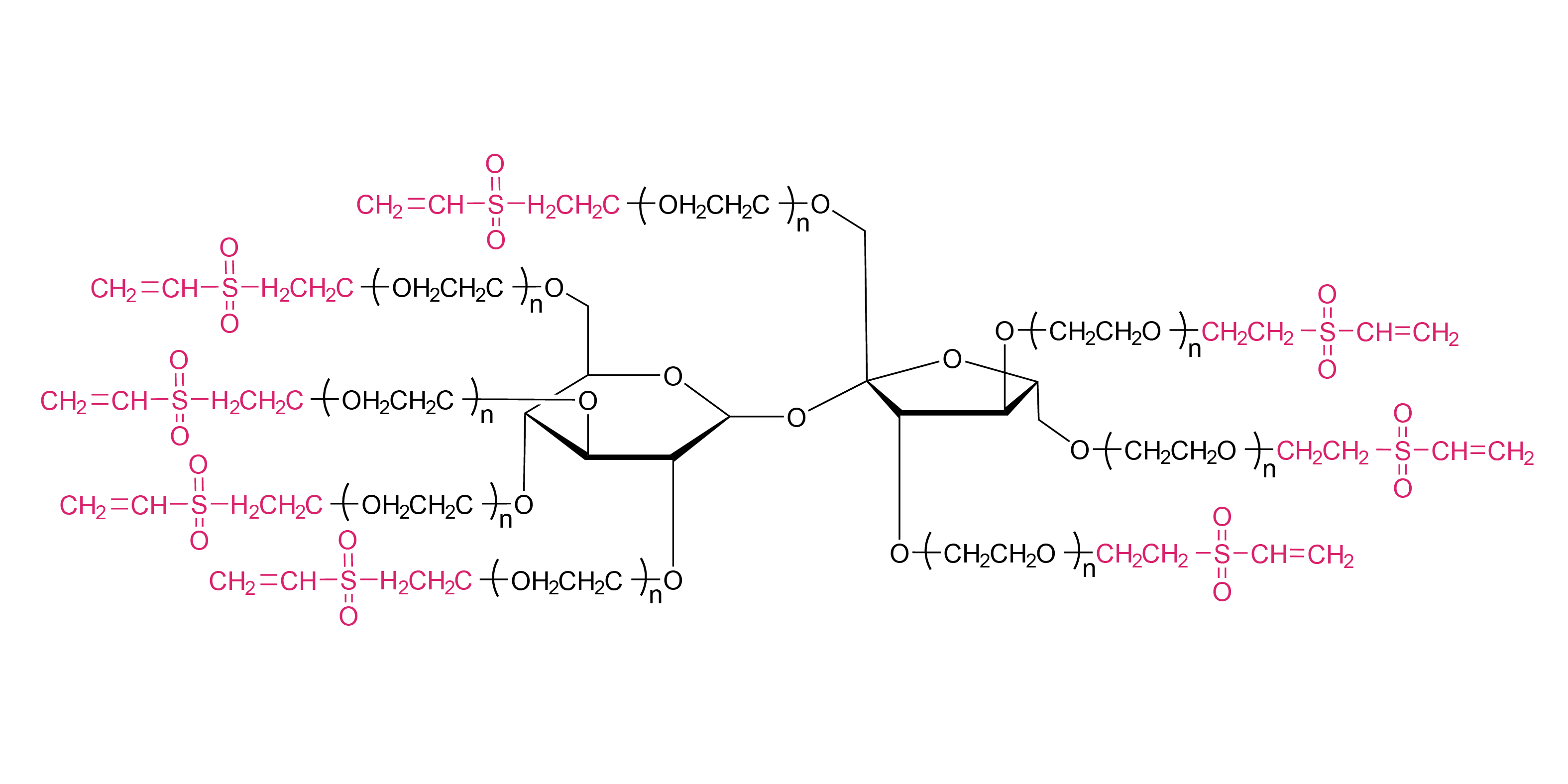
八臂聚乙二醇乙烯砜(suc)
图片尺寸3150x1575
聚砜树脂(仪器仪表)
图片尺寸323x366
"十四五"规划特种工程塑料—聚砜性能优异,国产化需求旺盛!
图片尺寸485x341
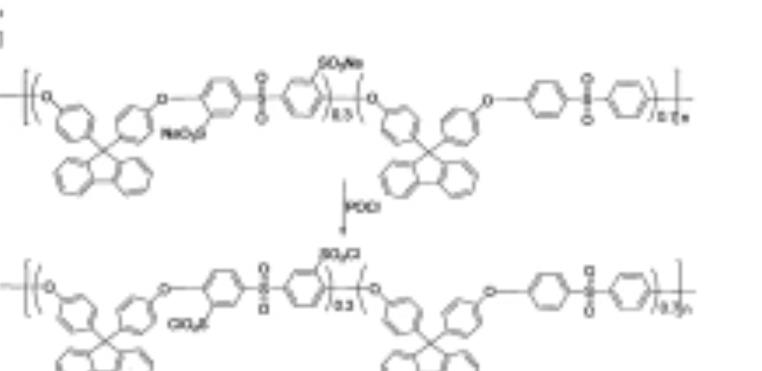
侧链结构对侧链型磺化聚砜质子交换膜性能的影响
图片尺寸700x1446
一种聚砜类树脂聚合物材料及其制备方法与流程
图片尺寸1000x628
psu聚砜通常所说的psu是指双酚a型聚砜,又叫psf.
图片尺寸1080x293
聚砜研究现状ppt课件
图片尺寸920x690
聚芳砜
图片尺寸762x371
较多,有熔融脱盐法,脱氯化氢法以及溶液脱盐法等等,其分子结构式如下
图片尺寸805x229
磺化聚醚砜
图片尺寸303x301