聚苯胺结构式

聚苯胺的合成方法
图片尺寸475x460
聚苯胺
图片尺寸420x383
聚苯胺结构式图片
图片尺寸605x375
图1 聚苯胺的分子结构
图片尺寸424x262
聚苯胺结构式
图片尺寸605x375
聚苯胺(导电态)
图片尺寸647x985
9聚苯胺的制备和导电性的观察
图片尺寸1207x420
p>聚苯胺,是一种高分子化合物,具有特殊的电学,光学性质,经掺杂后可
图片尺寸1225x1324
p>聚苯胺,是一种高分子化合物,具有特殊的电学,光学性质,经掺杂后可
图片尺寸960x1011
p>聚苯胺,是一种高分子化合物,具有特殊的电学,光学性质,经掺杂后可
图片尺寸1070x540
聚苯胺(pani)
图片尺寸600x142
聚苯胺的腐蚀防护机理及其在金属防腐中的应用_孙毅
图片尺寸1037x299
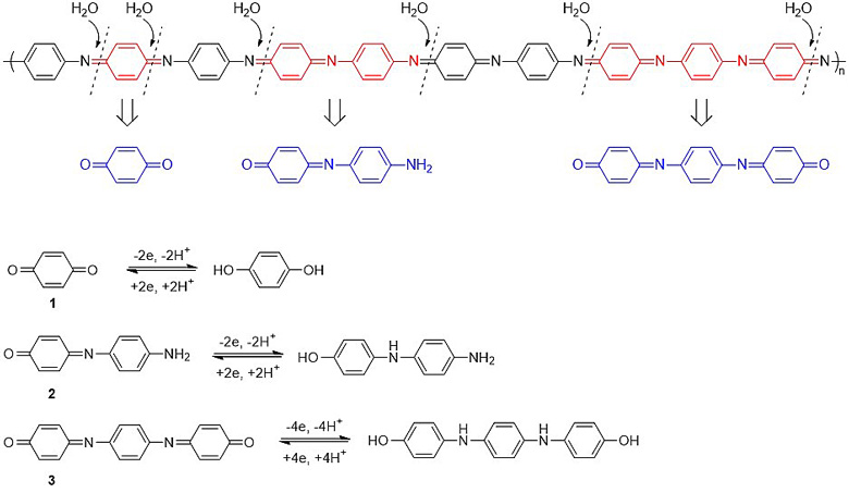
图2-2 聚苯胺的导电机理
图片尺寸1742x999
聚苯胺分散铂修饰电极对肾上腺素电分析性能的研究
图片尺寸716x359
通常聚苯胺是其多样化结构的总称.与其他聚合物相比,聚苯胺具有
图片尺寸408x323
聚苯胺/石墨烯电极材料高电容机理探究
图片尺寸780x453
聚苯胺(本征态和导电态)
图片尺寸250x250
聚苯胺
图片尺寸268x147
方磊团队jacs:具有泡利顺磁性的梯状氧化聚苯胺盐结构
图片尺寸600x568
1聚苯胺结构及导电机理
图片尺寸622x206