自吸泵型号

厂家直销qdx潜水泵自吸抽水机220v家用高扬程大流量灌溉水泵
图片尺寸790x1823
自吸式无堵塞排污泵 40口径 zw无堵塞自吸式排污泵型号意义
图片尺寸672x1468
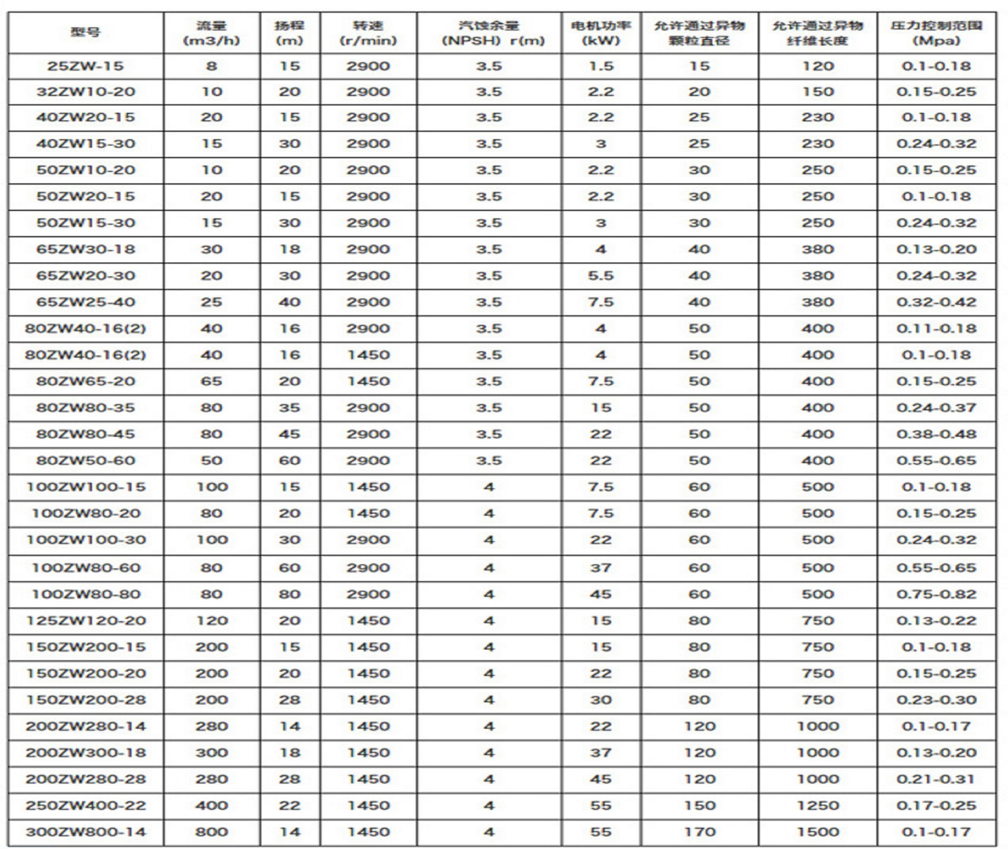
zw型污水自吸泵型号参数
图片尺寸750x1435
厂家销售全自动自吸泵太阳能热水增压泵家用静音自动自来水抽水泵
图片尺寸757x833
河北省温州隔膜气压罐生产厂家直销cyz-a自吸式离心油泵
图片尺寸531x693
自吸泵型号参数不同,自吸泵的功率大小也不相同.
图片尺寸2000x1685
泵型号.doc
图片尺寸993x1404
梦茜儿fp离心泵fpz自吸泵 化工泵耐酸碱 耐腐蚀塑的 80fp-32-7.
图片尺寸800x800
zw系列自吸式污水泵
图片尺寸977x824
zx不锈钢自吸泵
图片尺寸687x1280
自吸泵样本及自吸泵参数表
图片尺寸937x1280
上海连泉现货50wfba立式不锈钢自吸泵wfb无密封自控自吸泵
图片尺寸790x1041
四,吸力大的污水自吸泵订货须知:一,①首先确定吸力大的自吸泵型号②
图片尺寸937x1280
上海连泉现货批发自吸污水泵65zw2030自吸式离心泵zw自吸排污泵自吸泵
图片尺寸790x937
5-50清水自吸泵
图片尺寸608x1155
50fzb-20直连式氟塑料自吸泵
图片尺寸2488x3244
40fzb-30l氟塑料自吸泵
图片尺寸750x950
wdz系列卧式防爆不锈钢自吸泵 防爆电机不锈钢泵 防爆不锈钢自吸废
图片尺寸782x1106
zw自吸排污泵,不锈钢自吸排污泵
图片尺寸676x709
zxb系列自吸泵
图片尺寸800x1147