自由落体po

2.5自由落体运.ppt
图片尺寸960x720
高一物理自由落体运动课件ppt
图片尺寸1080x810
及周一疲惫的身躯哈哈哈真的没有拍照的心莄ctv7聚焦三农美的mideapo
图片尺寸960x1280
讨论po每天两颗珠你投给了哪篇文
图片尺寸828x1792
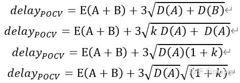
pocv比aocv少了哪里的悲观
图片尺寸474x164
古言po耿直小将军可爱大姐姐
图片尺寸596x796
马里兰大学polog演出校内学生只需13刀
图片尺寸1080x1439
公园美足-laopo_123
图片尺寸750x1128
水泥pc与po的区别是什么
图片尺寸700x280
我的第一次自由落体
图片尺寸500x333
彩墨试色|kakimori 01 po
图片尺寸1080x803
街拍少妇-laopo_123
图片尺寸910x1365
兰蔻持妆b01po01色号对比
图片尺寸1080x1439
po表志勋
图片尺寸1080x1346
关于停课居家只能po初期练习作品这件事
图片尺寸1080x1415
而每次只有1分钟左右的自由落体时间
图片尺寸614x290
nature:自由落体一定是直线下落么?_力学_运动_物体
图片尺寸1080x921
定制跑路po意的部分预览图15r有三百多张
图片尺寸788x1051
her living room area turned out the perfect spot for a few warm
图片尺寸2731x4096
【精选高清头像】蓝色系列动漫,赶紧收藏起来_po
图片尺寸586x587