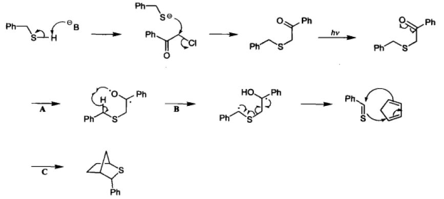
苄基自由基

名词解释:苄基自由基(用结构式或反应式表示)
图片尺寸800x480
苄基自由基 c-n键活化 串联反应
图片尺寸485x535
形成稳定的苄基自由基
图片尺寸867x389
一分钟 - 什麼?自由基?
图片尺寸1152x720
苄基自由基 c-n键活化 串联反应
图片尺寸504x459
自由基
图片尺寸297x247
寻找灵丹妙药--自由基与人体健康
图片尺寸485x394
苄基自由基 c-n键活化 串联反应
图片尺寸492x469
1.自由基是什么
图片尺寸493x335
由于含有未成对电子,总要去寻找能够配对电子,自由基极不安分,是身体
图片尺寸1065x594
对抗皮肤衰老最好的办法是
图片尺寸1000x1000
反应实例叔胺n-氧化物先均裂为两个自由基,接着重组为o-取代羟胺.
图片尺寸657x391
天然橡胶(nr)改性技术
图片尺寸931x659主营:8](https://i.ecywang.com/upload/1/img2.baidu.com/it/u=154251163,328109613&fm=253&fmt=auto&app=138&f=JPG?w=300&h=300)
3-羟基-4-甲基-2(3h)-噻唑硫酮[烷基自由基来源](49762-08-5)主营:8
图片尺寸300x300
joc | 宜春学院邹怀波课题组在金属自由基催化领域取得重要进展
图片尺寸660x1042
sod和cat强强联手,能够把新陈代谢过程中产生的各种活性氧自由基(ros)
图片尺寸502x224
自由基
图片尺寸339x226
然后双磺酰胺自由基可与底物作用,实现氢原子转移过程,产生苄基自由基
图片尺寸642x750
图3 机理实验随后作者对自由基hie反应合成氘代醛的策略提出了下面的
图片尺寸534x301
对抗自由基|||— 76 —|||即使没有出众的五官,但是却给人莫名青春
图片尺寸1200x636