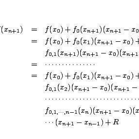
莱布尼茨公式

高等数学关于莱布尼兹公式
图片尺寸941x431
莱布尼兹公式_lora青蛙的博客-csdn博客_莱布尼茨高阶求导公式
图片尺寸1588x1830
用牛顿莱布尼兹公式计算这个定积分,求大神
图片尺寸456x547
莱布尼茨公式详细版 大一微积分
图片尺寸1005x711
2 牛顿—莱布尼茨公式
图片尺寸1080x810
关于高阶导数中的莱布尼茨公式
图片尺寸445x288
高阶导数 莱布尼茨公式
图片尺寸445x288
函数用牛顿——莱布尼茨公式计算不定积分 求详细的解题过程 不要一个
图片尺寸1068x423
牛顿-莱布尼茨公式
图片尺寸1504x686
牛顿-莱布尼茨公式的推广形式
图片尺寸1488x1820
展开全部 使用莱布尼兹公式即可 向左转 向右转
图片尺寸767x560
牛顿 莱布尼茨的公式的推导过程.请勿灌水.高等数学课本上好像没有.
图片尺寸1074x624
微积分03牛顿莱布尼茨公式
图片尺寸962x522
莱布尼茨公式
图片尺寸600x628
利用莱布尼兹公式
图片尺寸512x390
运用n阶导数的莱布尼茨公式
图片尺寸450x360
牛顿-莱布尼茨公式
图片尺寸286x286
微积分随笔牛顿莱布尼茨公式
图片尺寸553x478
高等数学b32牛顿莱布尼茨公式不定积分变上限定积分
图片尺寸920x690
求导莱布尼茨公式怎么用
图片尺寸500x400