蔡徐坤作文

有关蔡徐坤的作文
图片尺寸960x1280
致蔡徐坤的粉丝作文700字
图片尺寸920x1302
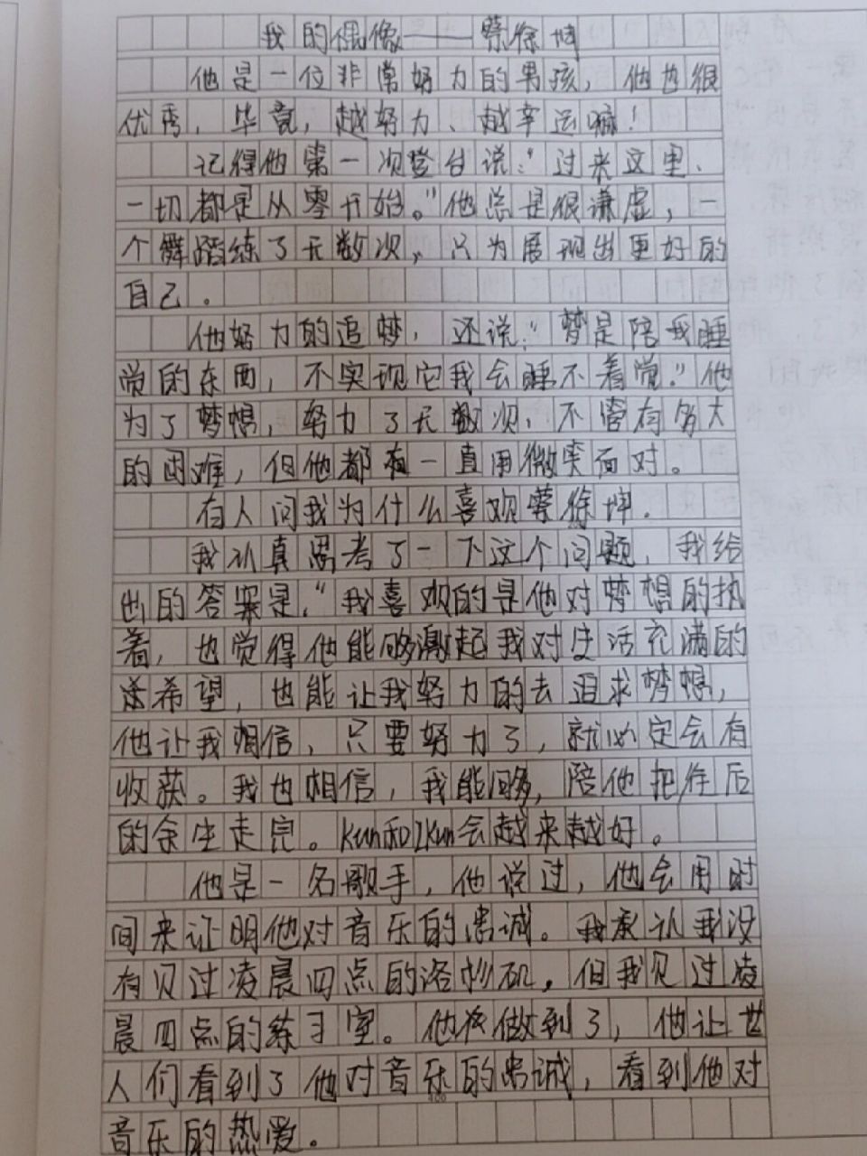
作文《我的偶像一蔡徐坤》 《我的偶像-蔡徐坤》 锦秀花路,我们一起走
图片尺寸960x1280
蔡徐坤‖作文‖你的光照亮了我的世界 你的光太耀眼,像太阳一样炎热
图片尺寸960x1280
作文我的偶像王俊凯
图片尺寸960x1279
蔡徐坤#
图片尺寸690x1189
蔡徐坤#
图片尺寸690x1172
作文《我的偶像一蔡徐坤》 《我的偶像-蔡徐坤》 锦秀花路,我们一起走
图片尺寸960x1280
作文《我的偶像一蔡徐坤》 《我的偶像-蔡徐坤》 锦秀花路,我们一起走
图片尺寸960x1280
小学生作文蔡徐坤披金成王伴坤远航老师长大嫁给他
图片尺寸639x354
满分作文:《八角笼中》,观之有感!
图片尺寸960x1280
小学生作文《奋斗吧少年》火了,言语间透露对坤坤的爱,老师:牛_家长
图片尺寸1276x944
满分作文:《八角笼中》,观之有感!
图片尺寸960x1280
有关蔡徐坤的作文
图片尺寸960x1280
孩子喜欢蔡徐坤怎么办
图片尺寸3456x4608
tnt时代少年团——《偶像》作文 (专写宋亚轩) 我们会不断努力 不辜负
图片尺寸960x1280
蔡徐坤 小学作文
图片尺寸720x960
24岁的蔡徐坤
图片尺寸1080x1080
代言香奈儿却背两百块的包蔡徐坤这么能挣私下却超抠门
图片尺寸640x803
学生作文《妈妈追星蔡徐坤》火了,老师看懵了:来办公室一趟_文章_全文
图片尺寸640x694