西咪替丁结构

西咪替丁注射液
图片尺寸529x173
西咪替丁 结构式
图片尺寸437x157
西咪替丁 a型 消化系统用药
图片尺寸360x360
西咪替丁
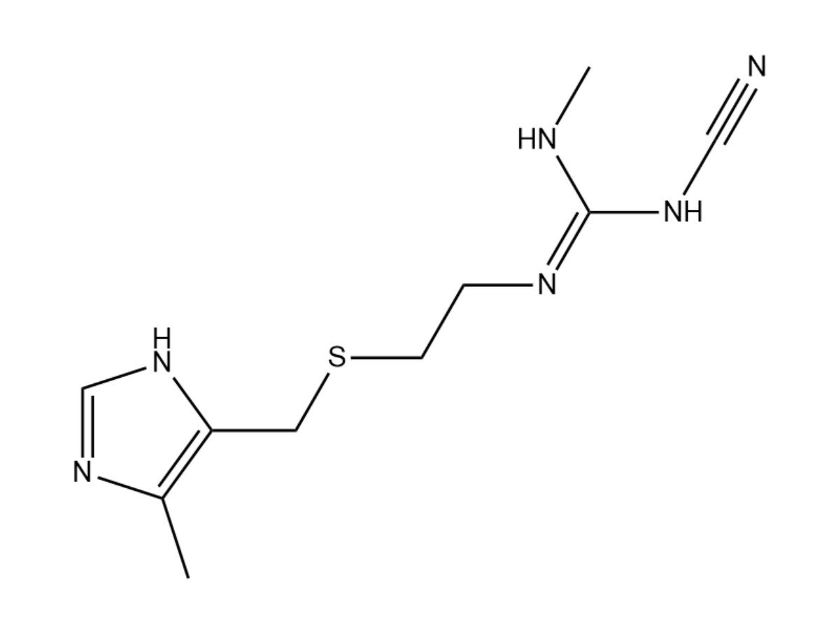
图片尺寸1175x915
西咪替丁
图片尺寸300x300
cimetidine 西咪替丁/西米替汀
图片尺寸600x600
西咪替丁
图片尺寸484x300
> 西米替丁
图片尺寸300x300
理性设计的西咪替丁
图片尺寸269x301
西咪替丁 雷尼替丁 布洛芬 萘普生 8
图片尺寸1080x810
西咪替丁 | cas51481-61-9
图片尺寸337x130
交货地: 发布时间: 2018-06-07 有效期: 30 天 备 注: 结构式
图片尺寸400x400
p>西咪替丁注射液,用于消化道溃疡. /p>
图片尺寸279x107
理性设计的西咪替丁
图片尺寸382x280
②西咪替丁的化学结构由咪唑五元环,含硫醚的四原子链和末端取代胍三
图片尺寸372x186
西咪替丁片
图片尺寸1224x1632
运费双湖西咪替丁片02g100片肠胃用药
图片尺寸790x1171
写出雷尼替丁的化学结构式,并说明与西咪替丁结构相比,有哪些改变
图片尺寸340x256
西咪替丁的3d结构,抑制胃酸产生的组胺h2受体拮抗剂.
图片尺寸800x533
西咪替丁胶囊(南国)用于缓解胃酸过多引起的胃痛,胃灼热感(烧心),反酸
图片尺寸1000x1000