西格玛计算公式

均值μ计算公式为:在ifcm算法中,考虑邻居点对中心点的影响时,需考虑
图片尺寸561x374
六西格玛黑带考试公式整理 (收藏版)
图片尺寸1280x1873
六西格玛常用公式大盘点!_文章_视频_公众
图片尺寸1080x1731
外啮合角变位圆柱斜齿轮计算
图片尺寸681x1035
关于cpk的计算方法 - 六西格玛品质网
图片尺寸823x411
六西格玛黑带公式
图片尺寸640x480
关于sigma的计算公式 - 六西格玛品质网
图片尺寸560x297
查看源网页
图片尺寸748x718
关于标准差σ的计算公式(excel)及用途 - 六西格玛品质网
图片尺寸847x458
六西格玛换算表
图片尺寸920x1301
0.99999999无限循环真的等于1吗?
图片尺寸551x586
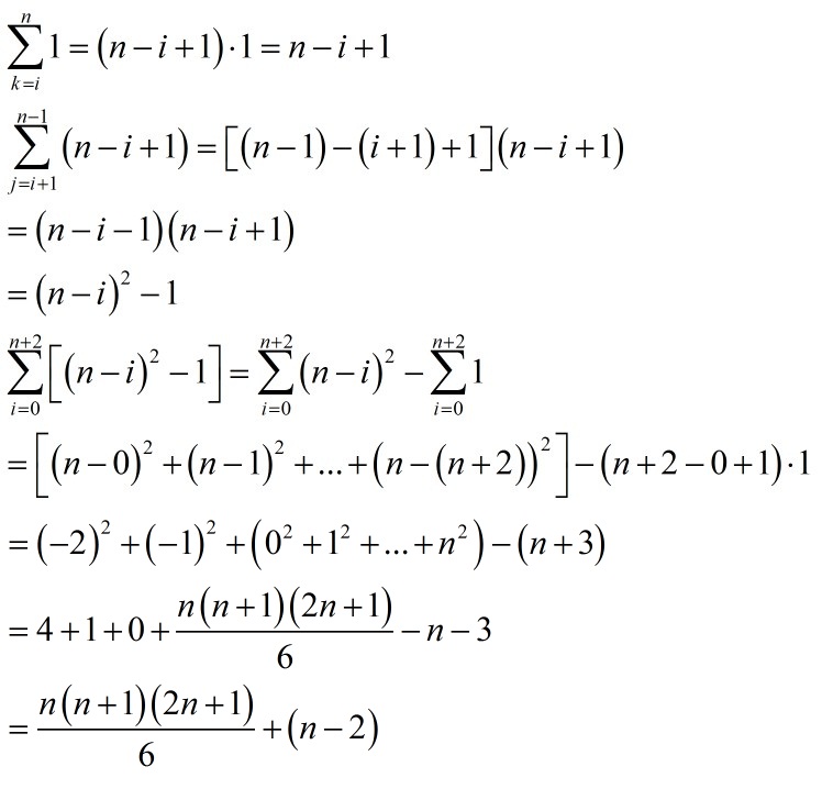
数学西格玛求和公式计算
图片尺寸585x248
西格玛与ppm换算表
图片尺寸643x942
教育行家 采纳数:26348获赞数:98794 毕业于河南师范大学计算数学专业
图片尺寸450x227
求和公式西格玛中的变量有两个时,西格玛下面应该怎么写?
图片尺寸1213x338
逻辑学 三段论ppt
图片尺寸1080x810
联想集团6sigma培训资料--对比实验ppt
图片尺寸1125x810
请教控制图系数的计算及出处! - 六西格玛品质网
图片尺寸669x531
单值移动极差控制图的常数 - 六西格玛品质网
图片尺寸890x783
该过程的西格玛水平约为4.9西格玛
图片尺寸1080x810