质能公式

一口气看懂爱因斯坦所有成就
图片尺寸695x466
质能公式
图片尺寸570x360
用到 动量定理,侠义相对论质量公式,等物理知识; 数学能力要求:基本
图片尺寸1440x810
高三第二轮专题复习14能量转化和守恒定律答案ppt
图片尺寸1080x810
根据这个公式,1公斤物质的能量全部释放,就约等于9*10^16j(焦耳),相当
图片尺寸640x367
物理学,质能方程式,公式,黑板,科学矢量图素材_id:140933090
图片尺寸612x612
世上最伟大的十个公式 质能方程让人类颤抖60年
图片尺寸837x562
新款汽车车贴 汽车贴纸 爱因斯坦 改变世界的公式 质能公式 多色
图片尺寸800x800
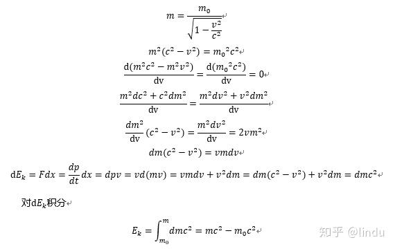
质能公式的推导
图片尺寸500x427
20-1 玻尔的氢原子理论ppt 第二十章 现代量子理论 氢原子能级公式
图片尺寸1080x810
世上最伟大的十个公式质能方程让人类颤抖60年
图片尺寸712x330
别再被骗了,带你正解质能关系
图片尺寸450x318
狭义相对论质能公式推导
图片尺寸640x360
基本公式 有效质量 h2 m* d e dk : de h dk
图片尺寸1080x810
求e=mc2推导的一张图片
图片尺寸390x272
爱因斯坦私下承认,在相对论中动质量根本不是质量
图片尺寸640x304
世上最伟大的十个公式质能方程让人类颤抖60年
图片尺寸474x333
爱因斯坦质能方程的内容】
图片尺寸540x657
根据质能方程,物质能从纯能量中产生吗?
图片尺寸640x324
爱因斯坦质能方程式是怎么推?出来.
图片尺寸612x816