质能方程

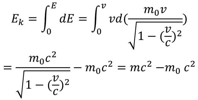
爱因斯坦质能方程详细推导过程
图片尺寸1440x810
p>质能方程即描述 b>质量与能量之间的当量关系 /b>的方程.
图片尺寸1200x748
你也能懂的质能方程emc05
图片尺寸1000x368
爱因斯坦是怎么发现质能方程的这个公式是怎么来的
图片尺寸640x429
别再被骗了,带你正解质能关系
图片尺寸450x318
质能方程为啥伟大,为什么要乘以光速平方,是如何推导出来的?
图片尺寸640x367
(质能方程)
图片尺寸1080x273
咖啡豆意式咖啡机用espresso【质能方程】第四号拼配454g下单烘焙
图片尺寸750x750
manim2分钟推导质能方程
图片尺寸2560x1440
高三第二轮专题复习14能量转化和守恒定律答案ppt
图片尺寸1080x810
根据质能方程物质能从纯能量中产生吗
图片尺寸640x324
质能方程
图片尺寸961x371
这个题的关键是找有阻力作用下的动力学方程,并且要建系规定正
图片尺寸577x551
质能方程
图片尺寸1080x659
默认你已经知道相对论的两个重要结论(均可以用理论推导) 1,质能方程
图片尺寸600x305
怎样推导质能方程?
图片尺寸995x453
爱因斯坦质能方程式是怎么推?出来.
图片尺寸612x816
依据质能方程可以将质量转化为能量能否用能量生成1g的质量呢
图片尺寸640x406
质能方程是爱因斯坦最伟大的发现和贡献之一,它揭示了质量与能量的
图片尺寸640x401
光奥227狭义相对论预言7质能方程
图片尺寸960x720