超级方程式

求这个方程式怎么解?
图片尺寸3120x4160
超级方程式在线播放
图片尺寸1116x630
初中化学方程式大全已排版超拽
图片尺寸920x1303
4*sin^2 2x=3解三角方程,通解.
图片尺寸472x598
有机物所有的化学方程式
图片尺寸920x1302
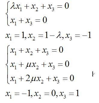
5) x=14000解方程式?
图片尺寸3120x4160
gt7阿尔法罗密欧涂装版超级方程式赛车
图片尺寸1080x607
动画片正版超级方程式(3dvd)二十集
图片尺寸500x500
解方程的方法(解方程的方法与技巧) 解方程的方法 第2张
图片尺寸1280x718
如何解方程,初三的,具体点
图片尺寸1952x3264
方程
图片尺寸329x342
用公式法解方程:3x的平方-2根号3x-2=0
图片尺寸1916x1234
化简根号25x xy
图片尺寸599x557
求方程x (x-1) (x-2) (x -3)=〔x (x-1)〕在线等,急啊!
图片尺寸610x378
方程5x^2 2x-15=0的两根的立方和为多少?
图片尺寸4095x3109
我的问题是一个方程式:我反复算了好多遍也无解, a/(a b)=15% a/(a 2b
图片尺寸2448x3264
解方程帮我下
图片尺寸450x600
超智能方程式赛车gpx 30周年特别企划发表(生肉)
图片尺寸1511x944
化学方程式 谢谢采纳
图片尺寸2178x1946
方程数学方程式照片
图片尺寸423x300