转移特性曲线

图2.2转移特性曲线
图片尺寸553x418
v-i 特性曲线及大信号特性方程 (2)转移特性 id f (vgs vds
图片尺寸1080x810
tft电学特性曲线实验与数值模拟比较 (a) i ds v gs转移特性曲线
图片尺寸1890x2587
场效应管转移特性曲线
图片尺寸470x524
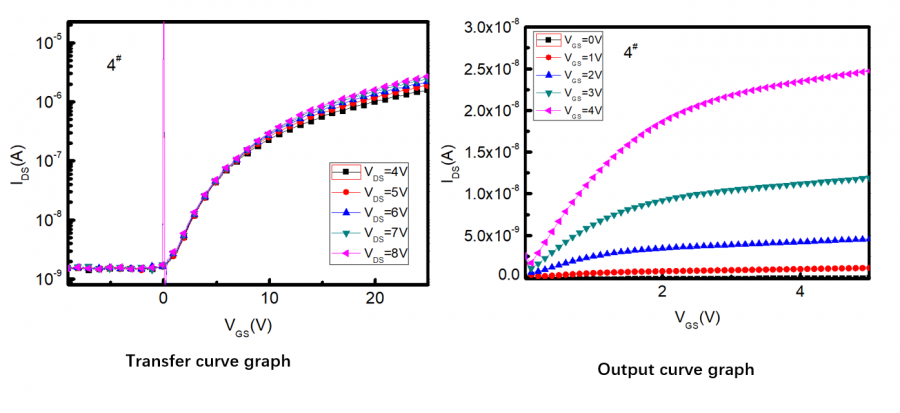
基于 pctz-t 的ofet器件的转移曲线(a)和输出曲线(b).
图片尺寸586x481
根据特性曲线分为:可变电阻区,恒流区,夹断区.
图片尺寸411x677
mos器件物理转移特性曲线
图片尺寸800x600
图2. p型和n型wse 场效应晶体管的转移特性曲线.
图片尺寸554x215
在分析mos管的开通过程,还需要结合mos管的转移特性和输出特性以及
图片尺寸427x437
(2) 转移特性
图片尺寸467x269
2场效应管的输出特性曲线如图p所示,画出它在恒流区的转移特性曲线.
图片尺寸1479x992
转移特性,id较大时,id与ugs的关系近似线性,曲线的斜率定义为跨导gfs
图片尺寸335x238
图 2 中子辐照前后algan/gan hemt器件转移特性曲线
图片尺寸1890x1205
不同掺杂浓度,不同栅长度及underlap的碳纳米管晶体管转移特性曲线
图片尺寸1252x1108
转移特性 id f (vgs vds const. vgs id i dss (1 vp
图片尺寸1080x810
石墨烯fet转移特性曲线
图片尺寸800x600
根据晶体管输出和转移特性曲线如何分析mobilityswingvth还有ionoff
图片尺寸900x413
3. 结果与讨论
图片尺寸4016x2528
fet转移特性曲线的测试
图片尺寸800x565
怎么从转移特性曲线上看dibl_「科普向」这篇让你快速搞懂igbt的静态
图片尺寸640x403