运动会流程图

运动会流程图_第1页
图片尺寸1500x1125
用思维导图安排运动会
图片尺寸3456x4608
羽毛球比赛流程图
图片尺寸800x1132
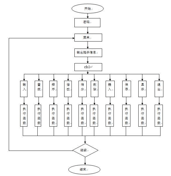
c语言校运动会管理系统报告含完整代码
图片尺寸586x602
比赛流程图#(精选.
图片尺寸568x827
( )的运动会
图片尺寸1920x631
体育馆赛事工作流程图915
图片尺寸2631x3300
9人比赛流程图
图片尺寸789x1060
用框图形式表示学校运动会的比赛流程._百度教育
图片尺寸132x241
【赛事流程图】
图片尺寸1195x715
"亲子齐运动,幸福促成长"——忠州幼儿园2018年冬季运动会之小三班
图片尺寸1239x1041
高校运动会管理系统数据库课程设计doc
图片尺寸860x1216
校运会流程表
图片尺寸920x1302
运动会整体详细流程
图片尺寸380x533
幼儿园亲子春季运动会流程
图片尺寸720x959
课 堂 常 规 教学流程图 师生问好 明确目标 提出要求 热 身 活 游戏
图片尺寸1080x810
比赛流程图
图片尺寸560x792
1运动会管理系统流程图 流程图
图片尺寸568x486
《数据结构课程设计-运动会分数统计》.doc
图片尺寸792x1120
竞赛操作程序 流程图 全套
图片尺寸636x950