酚类物质

"酚类" 是一种类似于大脑化学物质 γ-氨基丁酸 (gaba) 的化学物质
图片尺寸474x304
资料干货高二化学酚类物质的性质指导
图片尺寸1080x608
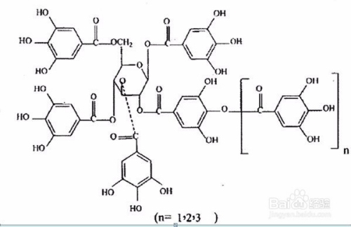
2 酚类化合物 目前发现苦荞麦植物中的酚类物质有4个,分别为:表儿茶素
图片尺寸700x544
酚类物质是什么
图片尺寸750x400
51-2007-工作场所空气有毒物质测定酚类化合物
图片尺寸6912x4320
95活性氧物质造成的伤害参考图二,着重讲下基质金属蛋白酶(mmp)
图片尺寸1080x694
糖类:包含葡萄糖,果糖等等人体必需的糖类物质.
图片尺寸600x237
现货上海辉世gc450酚类物质苯酚含量分析气相色谱仪器
图片尺寸800x800
资料干货高二化学酚类物质的性质指导
图片尺寸1080x608
葡萄酒中的神奇物质多酚你了解吗
图片尺寸852x594
棉籽中含有的酚类物质,结构为:在棉籽(仁)饼粕中的棉酚有两种:①结合
图片尺寸3402x1268
苹果汁榨出来为什么会变黑~!
图片尺寸600x386
酚类物质究竟有多少?
图片尺寸500x500
葡萄与葡萄酒中的酚类物质
图片尺寸800x600
【答案】 b 6.下列物质属于醇类的是
图片尺寸341x373
酚类物质是什么
图片尺寸750x400
家居 > 生活常识 1 单宁(tannin):说得学术点,单宁是种天然的酚类物质
图片尺寸500x324
下列物质中不属于酚类的是()
图片尺寸684x349
句话矛盾吗 羟基和苯环侧链上的碳原子相连 为什么后面又说是酚类物质
图片尺寸720x1280
gbwe082205甲醇中6种酚类混合溶液标准物质
图片尺寸1000x1667