酰肼基结构式

生物素酰肼结构式图片
图片尺寸605x375
乙酰肼cas10685719825g国华试剂
图片尺寸471x345
10-酰化反应ppt
图片尺寸1080x810
酰肼
图片尺寸484x300
cy5 酰肼结构式
图片尺寸600x600
酰基 1
图片尺寸1080x810
2,2-二甲基丙酰肼(cas:42826-42-6) 结构式图片
图片尺寸484x300
cas: 127188-39-0 中文名称: n-(1,3-苯并噻唑-2-基)氨基甲酰肼 英文
图片尺寸353x161
4-硝基苯甲酰肼结构式
图片尺寸300x255
2,6-二丁氧基异烟酰肼结构式_57803-54-0结构式
图片尺寸300x300
马来酸酰肼
图片尺寸207x244
异丁酰肼结构式
图片尺寸250x250
苯磺酰肼结构式
图片尺寸605x375
对苯二甲酰肼结构式图片|136-64-1结构式图片
图片尺寸605x375
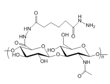
酰肼化透明质酸,ha-hz,hyaluronate hydrazide,酰肼可对醛特异性反应
图片尺寸364x281
丁二酸二酰肼,4146-43-4,结构式
图片尺寸255x97
2-二乙酰基肼
图片尺寸538x500
环丙甲酰肼
图片尺寸250x250
1-甲基环丙烷碳酰肼结构式图片|72790-89-7结构式图片
图片尺寸605x375
草酸单乙酯酰肼结构式图片|35196-48-6结构式图片
图片尺寸605x375