量的多音字

量的多音字组词
图片尺寸540x960
图片尺寸1280x1708
📚二年级语文多音字大集合
图片尺寸1080x1498
图片尺寸691x921
量的多音字组词2个字汇总量:liàng步量,智量,才量,志量,量鼓,盘量,宏
图片尺寸375x375
常见多音字分享给大家#每天学习一点点 #知识点总结 #词语积
图片尺寸1290x1654
小学语文反反复复考这119个多音字
图片尺寸1079x1400
小学多音字汇总,家长收藏给孩子背一背吧#小学语文 #学习资料
图片尺寸1440x1920
6年级多音字汇总.多音字是指一个字有两个或两个以 - 抖音
图片尺寸1080x1439
量的多音字读音及日常生活应用解析
图片尺寸957x464
量的多音字组词?
图片尺寸724x1280
📚四年级上册多音字全解析📖
图片尺寸1080x1415
小学语文 多音字汇总 (a ➡️ h)多音字是小学1
图片尺寸1526x1526
考点全解析📖 语文学习重在积累,即使是简单的一个多音字或形近字
图片尺寸1200x1570
甲骨文的"量"字演变:从粮食口袋到实际出发
图片尺寸660x881
幼小衔接必备:量词大全和反义词对子
图片尺寸1920x2530
多音字"强"组词强烈
图片尺寸1125x2436
图片尺寸2160x3176
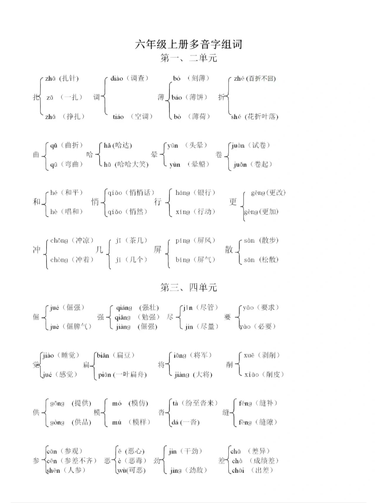
统编六年级上册多音字汇总
图片尺寸1280x1706
一年级量词,有需要的保存起来吧
图片尺寸1024x1535