链式法则

链式法则如图示 u x z v y z z u z v x u
图片尺寸1080x810
求导链式法则
图片尺寸1708x1728
链式法则
图片尺寸268x192
p>链式法则是 a href="#" data-lemmaid="6065">微积分 /a>中的 a
图片尺寸588x617
链式法则
图片尺寸1080x810
3链式求导法则
图片尺寸1080x810
2.2 复合函数的导数的链式法则http://zh.wikipedia.
图片尺寸1258x752
深度学习之美22bp算法详解之链式法则
图片尺寸780x668
深度学习之美22bp算法详解之链式法则
图片尺寸648x369
链式法则
图片尺寸1295x975
深度学习数学基础之链式法则 - 知乎
图片尺寸711x325
展开全部 利用链式法则 先求一阶偏导数 再求二阶偏导数 过程如下图
图片尺寸970x553
链式法则
图片尺寸1330x886
求复合函数偏导数的链式法则解ppt
图片尺寸1080x810
高数课件22复合函数求导法则ppt 高等数学同济第六版课件 一,链式法则
图片尺寸1080x810
1 链式法则与梯度弥散下图是一个简单的神经网络图,由输入层,隐含层
图片尺寸557x298
链式法则
图片尺寸1421x580
展开全部 2,先确定x,y为自变量 再利用链式法则求各偏导数的值 结果=
图片尺寸804x601
1,本题的求导方法是:运用复合函数的链式求导法则; 2,先得到偏导数,再
图片尺寸2302x1103
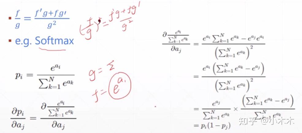
深度学习链式法则
图片尺寸985x436