阈值怎么读

「阈」怎么读拼音
图片尺寸280x280
阈的意思
图片尺寸100x100
阈值阀值傻傻分不
图片尺寸800x500
差异基因筛选阈值怎么设定71一文帮你全理清
图片尺寸1080x1439
"阈值"不念fá zhí,该怎么读?什么意思?阈值和阀值有何区别?
图片尺寸640x410
hero久诚文化水平遭质疑攻速阈值读成阀值学霸变文盲
图片尺寸641x404
阈值和阀值的区别是什么怎么读
图片尺寸600x400
毛发检测验毒的阈值阳性是怎么定义的
图片尺寸678x520
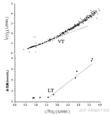
乳酸阈值10k测试与马拉松成绩之间的关系大揭秘
图片尺寸464x474
徽章篇.阈值在上一个视频,欢迎指正交流#nba2konlin - 抖音
图片尺寸1242x1048
这该怎么读?(龃龉,阈值,吱声,以儆效尤)
图片尺寸1135x638
快乐的阈值变高
图片尺寸1080x605
"阈值"不念fá zhí,该怎么读?什么意思?阈值和阀值有何区别?
图片尺寸640x322
这个字你读对了吗|阈值
图片尺寸951x1280
2021王者荣耀攻速阈值表怎么看 攻速阈值表一览
图片尺寸945x858
双模超高频读写器的同步和解码模块设计和实现
图片尺寸900x404
阀值和阈值阀值和阈值怎么读
图片尺寸323x245
阈值太大怎么办
图片尺寸1080x2338
阈值怎么读阈值怎么读什么意思
图片尺寸499x469
opencv中图像的零处理与截断处理讲解与实战(附python
图片尺寸577x648