陈一蕾丝

包容
图片尺寸640x640
陈一近期山水画习作选:(作者四川人,系张际才中国写
图片尺寸1203x1685
陈一茹摄主动申请,精心护绿2019年,53岁的汪国华通
图片尺寸1264x1714
陈一近期山水画习作选:(作者四川人,系张际才中国写
图片尺寸1279x1300
陈一近期山水画习作选:(作者四川人,系张际才中国写
图片尺寸1205x1213
陈一近期山水画习作选:(作者四川人,系张际才中国写
图片尺寸1776x1654
陈一近期山水画习作选:(作者四川人,系张际才中国写
图片尺寸1940x1279
陈一近期山水画习作选:(作者四川人,系张际才中国写
图片尺寸1302x1279
《"五星干部"风采录》丨陈一全:用奉献抒写为民情怀
图片尺寸500x403
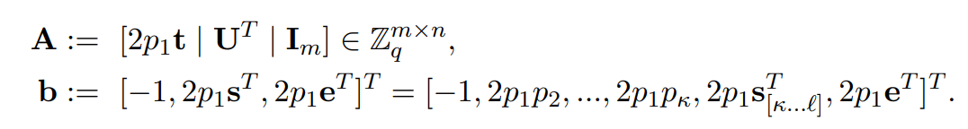
若通过验证可颠覆美国后量子密码设计,清华陈一镭预
图片尺寸1080x1080
世上真有人跟自己长的超像的人 98989999
图片尺寸690x1035
富贵蕾丝
图片尺寸1080x1440
若通过验证可颠覆美国后量子密码设计清华陈一镭论文破解格密码
图片尺寸640x364
陈一茹摄感恩政策,勤劳致富汪国华以前是村里的贫困
图片尺寸1264x948
若通过验证可颠覆美国后量子密码设计,清华陈一镭预
图片尺寸1080x401
安徽太湖绿色的家园最美的勋章
图片尺寸1264x948
若通过验证可颠覆美国后量子密码设计,清华陈一镭预
图片尺寸1076x144
若通过验证可颠覆美国后量子密码设计,清华陈一镭预
图片尺寸1080x128
若通过验证可颠覆美国后量子密码设计,清华陈一镭预
图片尺寸1080x187
"五星干部"之奉献之星陈一全:在工作中,我始终把群
图片尺寸462x462