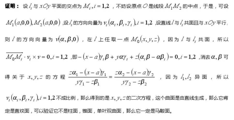
马鞍面方程

2, ≠π/ 2 0≤θ 2π r>0 5 6 双曲抛物面 u双曲抛物面标准方程
图片尺寸893x1263
新实验马鞍面ppt
图片尺寸1080x810
马鞍面
图片尺寸300x243
用late画马鞍面要求取点多但网格线少如何实现
图片尺寸692x370
选择该图形的理由和意义:该图形是经典的马鞍面,给人一种生动美感.
图片尺寸720x801
如何优雅的绘制一个马鞍面
图片尺寸1045x795
每日一题no484数分几代
图片尺寸967x498
二次曲面的分类
图片尺寸1104x1620
3)单叶双曲面:双叶双曲面: 4)椭圆抛物面:双曲抛物面(马鞍面): 5)椭
图片尺寸496x702
二次曲面 椭球面 抛物面: 三元二次方程 椭圆抛物面 双曲抛物面
图片尺寸1080x810
用matlab如何画马鞍面,方程:z=x^2-y^2_百度教育
图片尺寸560x420
向量代数与空间解析几何 第五节 曲面及其方程
图片尺寸524x593
经典的马鞍面要属方程表示的双曲抛物面了,它的图形是下面这个样子的
图片尺寸680x672
乘数法ppt 微积分期末 z 例 函数 z 3 x 2 4 y 2 椭圆抛物面 在(0
图片尺寸1080x810
如何用matlab画出一个马鞍面?最好有代码和图可以看.
图片尺寸1014x752
注记1: 注意z=xy是我们的马鞍面,它是课本p.
图片尺寸846x603
7 3(马鞍面)
图片尺寸1080x810
微积分第三版赵树嫄主编人大出版 (3)双曲抛物面(马鞍面) x2 y2 方 程
图片尺寸1080x810
数学
图片尺寸640x320
利用几何画板动态演示马鞍面
图片尺寸914x585