高斯算法

高斯公式
图片尺寸920x690
免费文档 所有分类 人文社科 法律资料 高斯法1 三.算法 1.
图片尺寸614x925
高数 高斯公式
图片尺寸721x604
高斯模糊算法
图片尺寸617x559
怎么用高斯公式做我做的和答案不一样
图片尺寸530x744
高数高斯公式详细过程
图片尺寸450x565
展开全部 用高斯公式不是更加方便吗? 向左转 向右转
图片尺寸1583x2192
高斯求和公式
图片尺寸640x394
机器学习算法(二十九):高斯混合模型(gaussian mixed model,gmm)
图片尺寸1346x508
高斯模糊的算法高斯卷积高斯核
图片尺寸1214x682
高斯求和ppt
图片尺寸1080x810
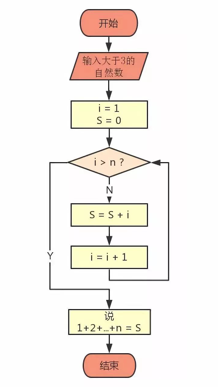
如何使用scratch编程软件计算1到100的叠加之和?_高斯
图片尺寸720x1280
详解高斯混合模型与em算法
图片尺寸2324x1868
高数高斯公式
图片尺寸920x690
ch13-4 高斯公式
图片尺寸1077x808
em算法在高斯混合模型学习中的应用
图片尺寸1025x342
高斯投影正反算编程.doc
图片尺寸800x1132
数值分析高斯塞得尔迭代法
图片尺寸814x1104
> 高斯公式
图片尺寸1080x810
高斯混合模型参数估计的em算法
图片尺寸398x399