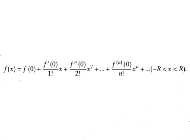
麦克劳林 级数

一些函数的maclaurin(麦克劳林)级数 - 知乎
图片尺寸2038x1708
麦克劳林级数
图片尺寸609x450
麦克劳林级数
图片尺寸1020x920
常用函数的麦克劳林级数展开式?
图片尺寸587x353
怎样求解麦克劳林级数
图片尺寸1440x1440
10个常用麦克劳林公式
图片尺寸700x400
求麦克劳林级数
图片尺寸1599x1266
怎样求解麦克劳林级数
图片尺寸1440x864
关于麦克劳林级数,到底是什么意思,比如这个e的x次方展开,能不能把x
图片尺寸1280x720
麦克劳林级数问题 如图
图片尺寸2592x1944
麦克劳林级数
图片尺寸753x405
麦克劳林级数
图片尺寸749x458
麦克劳林级数怎么解这题
图片尺寸778x369
求问麦克劳林公式在求极限时的具体使用,基础点,要有例题,谢谢!
图片尺寸2281x2381
麦克劳林级数
图片尺寸757x458
92麦克劳林级数的余项
图片尺寸720x1018
高数麦克劳林公式的应用
图片尺寸539x543
麦克劳林级数 和泰勒级数的区别
图片尺寸817x531
麦克劳林公式计算
图片尺寸600x391
麦克劳林公式使用条件是什么
图片尺寸640x256