黑体辐射图像

黑体辐射是什么意思
图片尺寸487x401
黑体辐射现象的简介
图片尺寸655x564
为什么黑体辐射光谱的峰值靠近可见光?
图片尺寸300x277
图 9 不同炉温下的黑体辐射光场图像 (a) 1098.15 k; (b) 1123.
图片尺寸2677x882
为什么恒星和黑洞都能被称为黑体黑体辐射的定律特性回答你
图片尺寸1280x720
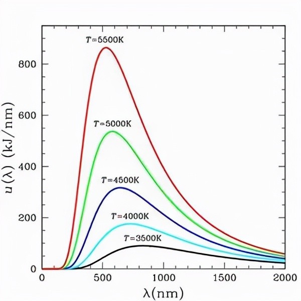
黑体辐射的能量分布曲线 (单色辐射度与波长的关系曲线)
图片尺寸1080x810
到了1900 年,为了拟合黑体辐射的实验结果(图3),即找出空腔中光的
图片尺寸822x393
黑体辐射
图片尺寸454x340
战斗机红外传感器背后的科学
图片尺寸1559x1099
什么是黑体辐射
图片尺寸640x541
另外可以参考wikipedia中 黑体辐射的相关条目.
图片尺寸1000x925
什么是黑体辐射黑体辐射和衣服颜色有什么关系
图片尺寸418x259
这种辐射与物体的温度有关,物理学家通过实验研究黑体的辐射,得到了
图片尺寸331x307
(多选)黑体辐射的实验规律如图所示,据此以下判断正确的是
图片尺寸293x338
普朗克黑体辐射定律(图片来自网络)
图片尺寸900x513
1 黑体辐射和能量子假设ppt
图片尺寸1080x810
关关雎鸠 南邮 大学物理课件 15-1 黑体辐射 普朗克能量子假设ppt
图片尺寸1080x810
黑体辐射的测量 其单色辐出度m 最大且只与温度有关 而和材料及表面
图片尺寸1080x810
黑体辐射公式的多种推导及其在近代物理构建中的意义(一)
图片尺寸600x600
黑体辐射实验ppt
图片尺寸1080x810