1-苯基-1-乙醇

()-1-苯基乙醇
图片尺寸500x500
dl-1-苯乙醇
图片尺寸399x194
(r)-( )-1-苯基乙醇|(r)-( )-1-phenylethanol|1517-69-7|aldrich|0.
图片尺寸411x306
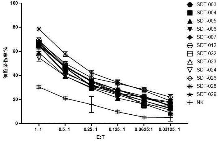
公开号:cn116283840b
图片尺寸1000x965
p113820 (s)-(-)-1-苯基乙醇 cas 1445-91-6 1g 99% aladdin
图片尺寸155x180
深度丨木质素:为先进材料应用而生
图片尺寸640x587
《食品科学》:集美大学倪辉教授等:轻度盐腌大黄鱼的气味特征及形成
图片尺寸667x764
《向特定国家(地区)出口易制毒化学品目录》增列24项品种_苯基_丙酮
图片尺寸535x738
2-氧代-4-苯基丁酸乙酯64920-29-2:性质,用途,合成及注意事项
图片尺寸500x500
《食品科学》:集美大学倪辉教授等:轻度盐腌大黄鱼的气味特征及形成
图片尺寸657x350
(r)-1-(4-甲基苯基)乙胺4187-38-6的化学基本性质,主要用途
图片尺寸500x500
rhawn罗恩s1苯基乙醇r0187425gcas号1445916971瓶
图片尺寸600x600
瑞士 辛格酮(姜油酮 姜酮)122-48-5 100克/桶 量大价优
图片尺寸360x360
(s)-( )-2-叔-丁基氨基-1-苯基乙醇
图片尺寸249x103
公开号:cn116283840b
图片尺寸702x455
(s)-1-(4-(三氟甲基)苯基)乙醇
图片尺寸600x600
pyridine中文别名:2-(2-羟基乙基)吡啶 | 2 - (1 - (4-氯苯基)-1h -5
图片尺寸500x500
2,2,2-三(丙烯酰氧甲基)乙醇交联剂,tae小分子交联剂,有机小分子
图片尺寸1200x801
盐酸概念:相关概念上市公司名单整理(2024/6/12)
图片尺寸750x400
乙酰乙酸乙酯为原料制备1-苯基-2,4-戊二酮
图片尺寸2976x3968