hemiketal

1-methoxycyclopropan-1-ol; cyclopropanone methyl hemiacetal
图片尺寸484x300
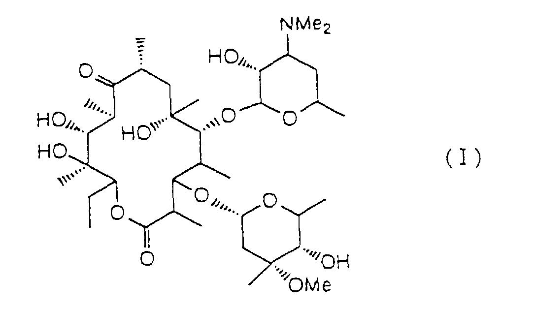
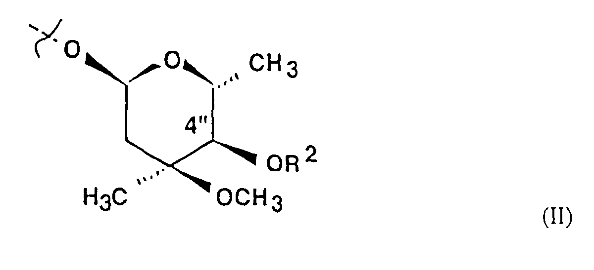
novel 3,6-hemiketals from the class of 9a-azalides
图片尺寸1304x815
半桥粒 半桥粒 hemikaryon|单倍核 单倍核 hemiketal|半缩酮 半缩
图片尺寸642x1020
novel 3,6-hemiketals from the class of 9a-azalides
图片尺寸1200x547
process for the preparation of erythromycin derivatives
图片尺寸1088x628
41tadalafil aminohemiketal impurity (ep impurity e)他达那非杂质e
图片尺寸590x502
pseudoerythromycin a 6,9-hemiketal
图片尺寸278x257
144302-17-0|18-羟皮质醇(半缩醛)|18-hydroxycortisol (hemiketal)
图片尺寸300x300
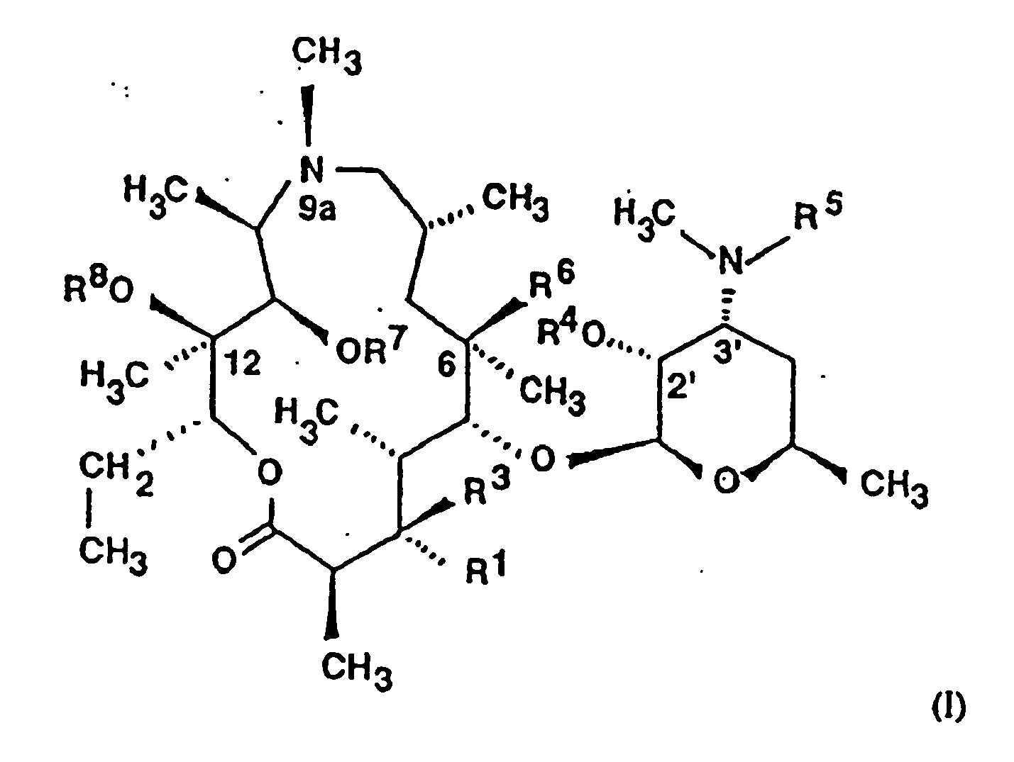
novel 3,6-hemiketals from the class of 9a-azalides
图片尺寸1429x1075
1,11-epoxyerythromycin英文同义词:pseudoerythromycin a hemiketal
图片尺寸442x418
pseudoerythromycina69hemiketal
图片尺寸263x247
分子结构式
图片尺寸511x479
may exist as a mixture of the ketone isomer and the hemiketal
图片尺寸827x449
18hydroxycortisolhemiketal
图片尺寸352x252
process for producing hemiketals and hemithioketals
图片尺寸1483x729![[0083] in a further embodiment, the hemiketal to be avoided in](https://i.ecywang.com/upload/1/img0.baidu.com/it/u=3658060223,1046887180&fm=253&fmt=auto&app=138&f=JPG?w=559&h=500)
[0083] in a further embodiment, the hemiketal to be avoided in
图片尺寸1035x926
process for producing hemiketals and hemithioketals
图片尺寸739x407
new c-31 desmethyl fr-900520 cyclic hemiketal immunosuppressant
图片尺寸1003x631
liiketaloustiede ja tietojenk01sittelytiedeaineenopettaja
图片尺寸2000x1133
new c-31 desmethyl fr-900520 cyclic hemiketal immunosuppressant
图片尺寸979x1372