isobutylene

厄贝沙坦氢氯噻嗪片安博诺
图片尺寸1000x1000
bluebonnet nutrition 复合维生素(产前) 孕妇dha软胶囊(90粒)
图片尺寸1000x1000
美国进口自然之宝叶黄素软胶囊20mg40粒成人中老年护眼
图片尺寸800x800
file:isobutylene-3d-vdw.png
图片尺寸730x768
cas:64365-06-613-14 碳异构烷烃英文名:poly(isobutylene)cas:9003
图片尺寸484x300
isobutylene sulfide
图片尺寸484x300
sulfurized isobutylene-沈阳广达化工有限公司
图片尺寸1260x746
四异丁烯tetraisobutylene
图片尺寸214x285
byredoblanche纯真年代香水收藏家版
图片尺寸1080x1080
method of isolating isobutylene polymer
图片尺寸1824x2060
isobutylene oxide polyols
图片尺寸1895x730
chemical t154 wholesale polyisobutylene succinimide ashless
图片尺寸640x640
process for producing isobutylene polymers having functional
图片尺寸1704x1090
methods of copolymerizing ethylene and isobutylene and polymers
图片尺寸415x683
cationic polymerization of isobutylene (ib) in the presence of
图片尺寸500x206
专利ep1474456b1 - alternating copolymers of isobutylene type
图片尺寸661x236
methods of copolymerizing ethylene and isobutylene and polymers
图片尺寸2502x3499
liquid phase synthesis of hexafluoroisobutylene
图片尺寸1149x603
process for producing isobutylene polymers
图片尺寸1744x732
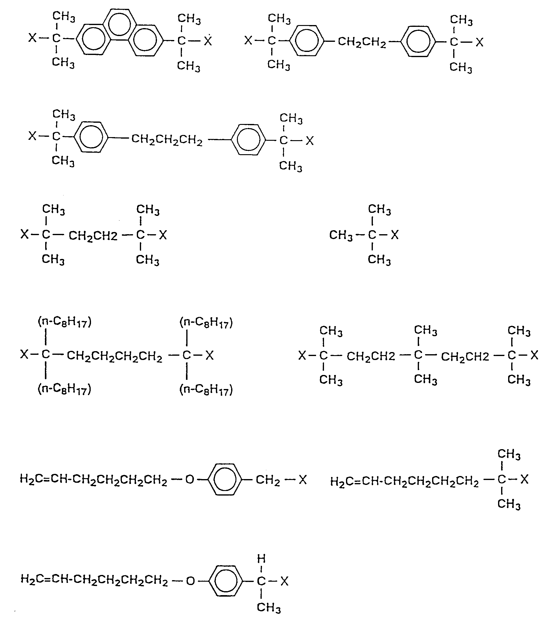
process for preparing isobutylene-based polymers
图片尺寸1882x1802