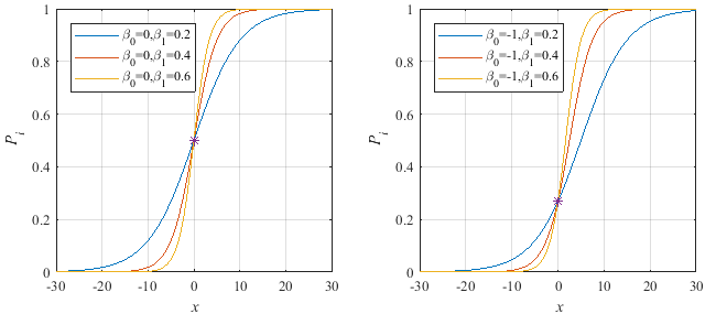
logit模型

二元logit模型
图片尺寸2736x1623
统计分析有序logit模型
图片尺寸1080x689
logit模型和logistic模型有什么区别
图片尺寸1629x1190
正确打开解读logit模型系数的方式离散选择模型之四
图片尺寸650x285
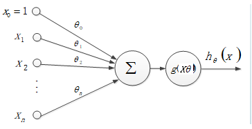
10逻辑回归模型logisticregression
图片尺寸530x470![4]{logitprobit.eps}](https://i.ecywang.com/upload/1/img0.baidu.com/it/u=3251714915,2746533883&fm=253&fmt=auto&app=138&f=JPG?w=702&h=500)
4]{logitprobit.eps}
图片尺寸775x552
想明白多分类必须得谈逻辑回归
图片尺寸699x472
逻辑回归模型详解logisticregression
图片尺寸773x390
logit和logistic模型的区别?
图片尺寸592x417
嵌套logit模型的stata应用及结果解读 - 知乎
图片尺寸516x231
你们要的二项logit模型在这里离散选择模型之八
图片尺寸300x271
模型创建
图片尺寸1123x482
logit模型
图片尺寸378x289
在评分卡项目中,如果需要构建一个标准的评分卡模型,就只能采用逻辑
图片尺寸364x187
逻辑回归模型
图片尺寸644x333
机器学习之简单分类模型
图片尺寸1048x608
2.模型简介
图片尺寸786x631
机器学习速成宝典模型篇03逻辑斯谛回归logistic回归python版
图片尺寸1849x1000
eviews logit模型预测准确率拟合优度hl检验
图片尺寸1792x1024
logit模型和logistic模型
图片尺寸627x446