parseval

ppt 严谨 严格 求实 求是 第二章 确知信号 3,巴塞伐尔(parseval)定理
图片尺寸1080x810
parseval等式
图片尺寸600x300
一般可积函数的parseval等式.doc
图片尺寸794x1123
中,以marc-antoine parseval命名的帕塞瓦尔恒等式是一个有关函数的 a
图片尺寸268x361
parseval关系
图片尺寸800x600
parseval 定理.doc
图片尺寸792x1120
parseval等式
图片尺寸600x300
august von parseval插画图片壁纸
图片尺寸1600x2224
loewe 2002秋冬系列秀场,摄影:antoine de parseval.
图片尺寸1080x1620
东南大学信号与系统课件 section 9-9
图片尺寸1020x766
parseval恒等式如何证明
图片尺寸1080x1529
parseval恒等式如何证明
图片尺寸835x1325
parseval等式应用以及fourier积分doc11页
图片尺寸792x1120
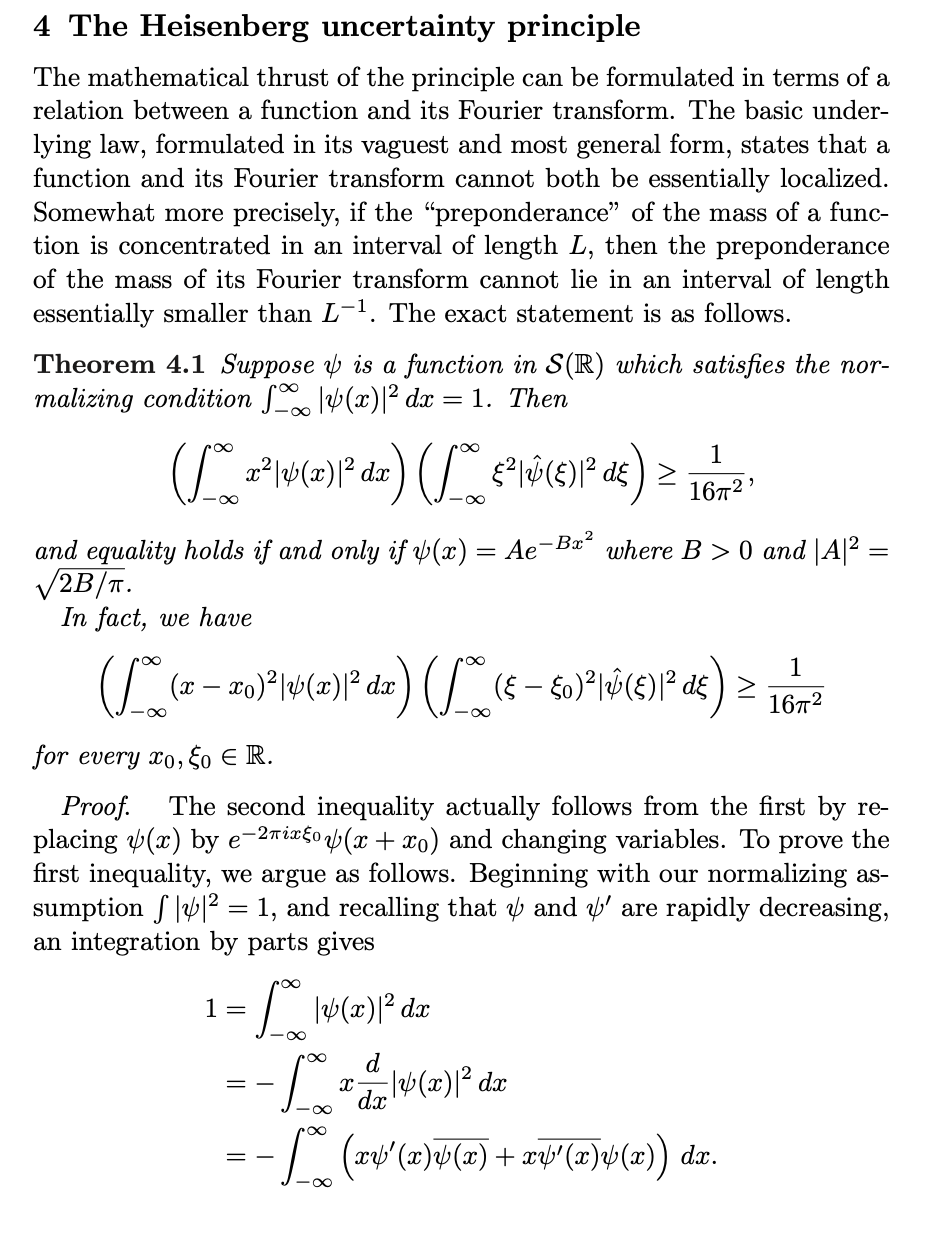
如何用parseval等式证明海森堡测不准原理
图片尺寸936x1254
parseval等式应用以及fourier积分doc11页
图片尺寸792x1120
parsevalstheorem帕塞瓦尔定理
图片尺寸403x280
所有分类 自然科学 生物学 > 长江大学信号与系统7-3parseval定理 1
图片尺寸1080x810
parseval恒等式,wirtinger不等式,poincaré不等式,等周不等式
图片尺寸720x405
帕塞瓦尔新皮肤
图片尺寸960x540
cv曲线面积的意义关于离散信号parseval定理的物理意义
图片尺寸840x630