plc流程图编程

plc控制电梯的流程图
图片尺寸920x1302
主控制程序流程图
图片尺寸1575x3294
plc编写自动程序的方式方法
图片尺寸1152x2104
基于plc的简单抢答器的设计
图片尺寸1240x1753
python流程图的基本元素,python程序流程图怎么画
图片尺寸500x1404
plc控制流程图
图片尺寸920x1302
plc编程入门指南:九种编程方法详解
图片尺寸1080x1420
plc流程图
图片尺寸738x1156
s7-1500 plc程序结构图解
图片尺寸1242x2417
plc画流程图#plc #工业自动化 顺序控制流程图@流程图
图片尺寸1920x1080
系统程序控制流程图
图片尺寸2338x1653
功能图在plc编程中的详细解析与应用指南
图片尺寸1080x1198
plc程序设计步骤
图片尺寸920x1303
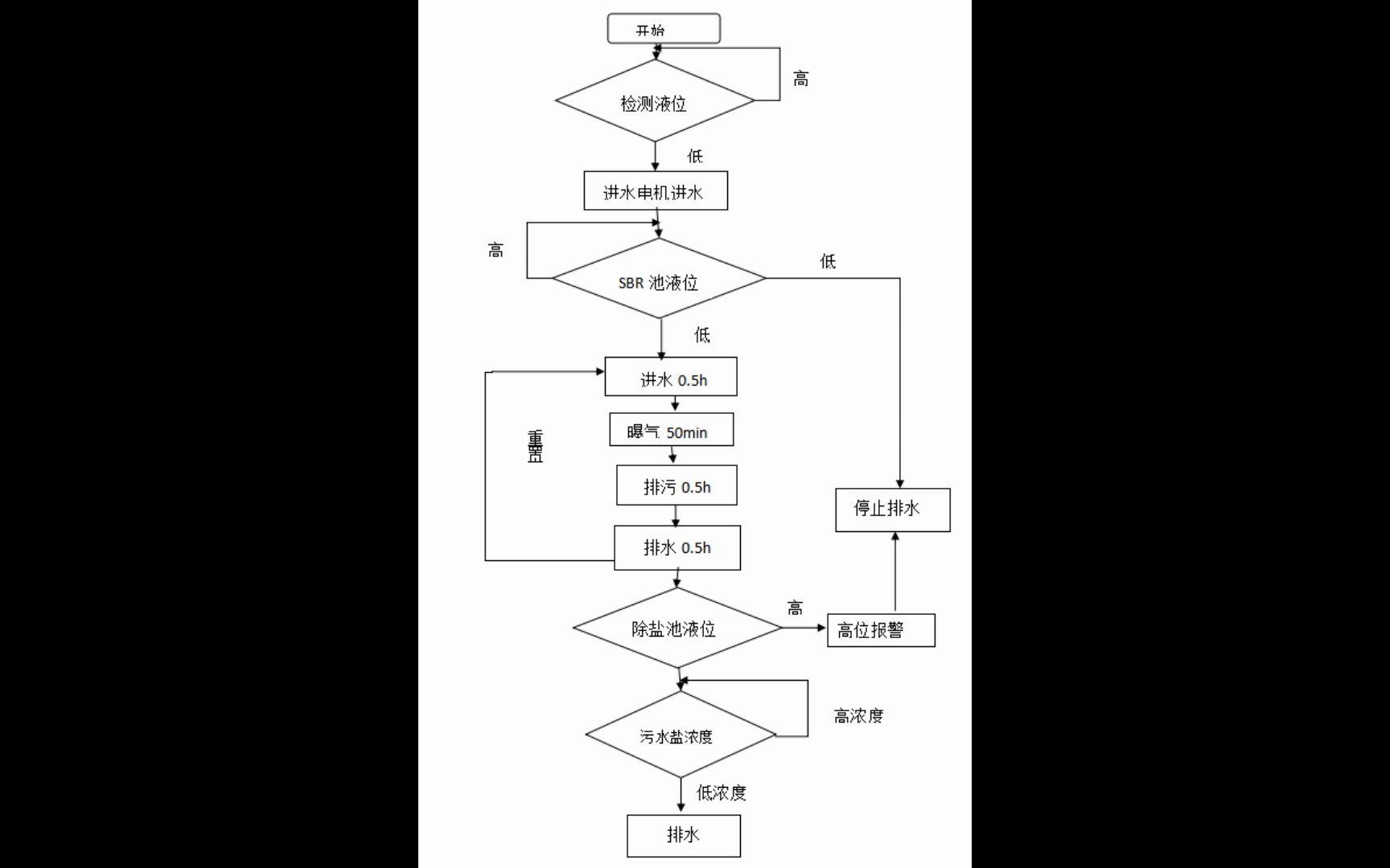
plc(三菱 fx2n-48mr)污水处理系统设计
图片尺寸1728x1080
plc的工作原理是什么
图片尺寸906x1597
赋值的方式做手动自动切换编程#plc#编程·3月前赣好电气plc编程实例
图片尺寸1080x1920
西门子200smart编写洗衣机.流程控制#技术分享 #pl
图片尺寸828x1456
plc在钢板打号机系统中的应用
图片尺寸1016x1076
plc控制步进电机程序
图片尺寸1860x2631
1.状态机流程图
图片尺寸1638x1032