x平方的导数

y=x的平方(2 根号下x) 求导数?
图片尺寸303x348
sinx平方的导数是多少含推导计算过程
图片尺寸640x340
当x右趋向1时,即x>1,f(x)=1/x=1,所以导数可导其他2条回答 2010-09
图片尺寸2079x2079
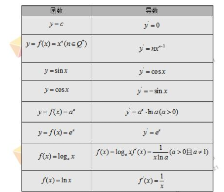
等于x分之a的平方的导数_高中数学:导数
图片尺寸640x645
arc sin2x/1 x的平方的导数
图片尺寸1872x3328
对x的x次方求导?
图片尺寸612x816
x平方x根号下5-x的导数
图片尺寸780x1040
y=2x-1/x平方 1的导数 急用
图片尺寸426x568
求根号下 x的平方加1 的导数
图片尺寸1280x960
高等数学导数与微分高数第二章
图片尺寸704x472
6,常见的导数和定积分运算公式:若()f x ,()g x 均可导(可积),则有
图片尺寸565x408
数学题 (x的x次方)的导数是?
图片尺寸320x410
导数的几何意义 函数 y f (x) 在点 x0 处的导数的几何意义是曲线 y
图片尺寸1080x810
根号下(1 x平方) x乘以根号下(1 x平方),求这个函数的导数和二阶导数
图片尺寸450x381
arcsin根号1-x的平方的导数
图片尺寸454x390
arcsin根号1-x的平方的导数
图片尺寸600x400![必记公式] 1.基本初等函数的八个导数公式](https://i.ecywang.com/upload/1/img0.baidu.com/it/u=1840485333,2907492201&fm=253&fmt=auto&app=138&f=JPEG?w=606&h=373)
必记公式] 1.基本初等函数的八个导数公式
图片尺寸606x373
导数公式推导过程中有一步不理解.
图片尺寸2464x1296
函数:x的x次方怎么求导?
图片尺寸972x1296
y=(2x平方 x)(lnx-3)的导数
图片尺寸3264x1840