Φ概率表

皮尔逊Ⅲ型曲线的离均系数Φ值表完整版
图片尺寸717x1046
完整的皮尔逊Ⅲ型曲线的离均系数Φ值表
图片尺寸694x741
完整的皮尔逊Ⅲ型曲线的离均系数Φ值表
图片尺寸388x741
另外不得不提的是,波函数φ本质上是概率波,至于怎么理解概率波这个
图片尺寸640x420
sdist(x) excel函数: Φ(x) = norm
图片尺寸693x895
标准正态分布表 φ( -x) = 1 –φ(x) x|00.01|0.02|0.03|0.04|0.
图片尺寸496x702
标准正态分布表
图片尺寸920x1302
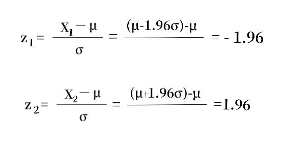
96σ上的概率.
图片尺寸560x277
099 = 2.02,通过查看z-table可以看到概率为:0.
图片尺寸564x905
概率统计ppt
图片尺寸1080x810
高数概率论.简单题.为什么说η是1
图片尺寸640x480
展开全部 化成标准正态分布 概率=2Φ(3)-1=0.
图片尺寸622x382
分布 第1页 相关主题 你可能喜欢 f分布临界值表 概率论数理统计公式
图片尺寸643x829
高数 概率论 红线部分怎么来的? Φ怎么计算
图片尺寸1040x584
中位数 满意度 标准正态分布的中位数
图片尺寸792x1120
其中Φ(x) 为标准正态分布函数. 贝叶斯优化过程
图片尺寸370x196
各位大神我标红的Φ是什么符号啊表示什么
图片尺寸645x420
皮尔逊Ⅲ型曲线的离均系数Φ值表完整版
图片尺寸717x1046
常用概率分布ppt
图片尺寸1080x810
概率论与数理统计常用数值表
图片尺寸920x1300