β-氧代酸结构式

akg 2-氧代戊二酸氨酸片 升级版 酵母β-葡聚糖 n乙酰神经氨酸 茶氨酸
图片尺寸800x800
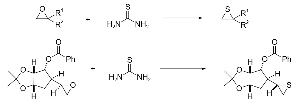
硫脲与 α-卤代酮反应可以用来制备 2-氨基噻唑衍生物,与 β-氧代羧酸
图片尺寸1000x345
美国进口akg西兰花种子水提物2-氧代戊二酸酵母β-葡聚糖凝胶糖果美国
图片尺寸800x800
ala-oh684270-46-03-叠氮基-d-丙氨酸105928-88-93-叠氮基-3-脱氧-1
图片尺寸750x750
四氢萘酮骨架上含有5,7-二甲基,6-/7-甲氧基或甲氧基取代的β-酮酯,均
图片尺寸660x733
一种嘧啶-1(2h)-氧代类化合物及其制备方法与应用与流程
图片尺寸408x687
2-(3,4-二氯-β-氧代苯乙基)苯甲酸结构式图片|50439-10-6结构式图片
图片尺寸605x375
akg升级版美国原装进口2氧代戊二酸酵母β-葡聚糖n乙酰神经氨酸60
图片尺寸800x800
7α-羟基类固醇脱氢酶突变体及其在7-氧代-石胆酸合成中的应用
图片尺寸1925x1853
肉桂酸,2-十二烯酸和12-氧代植
图片尺寸593x637
akg 氧代戊二酸,激活细胞潜能 自上世纪以来,akg(α-酮戊二酸)靠着
图片尺寸1726x1280
美国进口akg胶囊补充剂α-酮戊二酸2氧代戊二酸酵母β-葡聚糖软胶囊
图片尺寸800x800
美国进口akg胶囊 2-氧代戊二酸 酵母β-葡聚糖乙酰神经氨酸 60粒
图片尺寸800x800
光催化需氧的烯烃双氧化选择性构建β-氧代醇
图片尺寸677x789
akg 氧代戊二酸,激活细胞潜能 自上世纪以来,akg(α-酮戊二酸)靠着
图片尺寸1650x1280
(3b,20b)-3-羟基-11-氧代-齐墩果-12-烯-29-酸,18β-甘草次酸18β
图片尺寸1403x1116
化学名为n-叔丁基-3-氧代-4-氮杂-5α-雄甾-1-烯-17β-甲酰胺,化学式
图片尺寸1998x866
美国进口 akg西兰花种子水提物 2-氧代戊二酸 酵母β-葡聚糖 凝胶
图片尺寸800x800
共 15 个产品三甘醇112-27-610,10-氧代双吩噁砒58-36-6癸二酸111-20
图片尺寸2528x3504
305-72-6disodium 2-oxoglutarate2-酮戊二酸二钠2-氧代
图片尺寸890x890