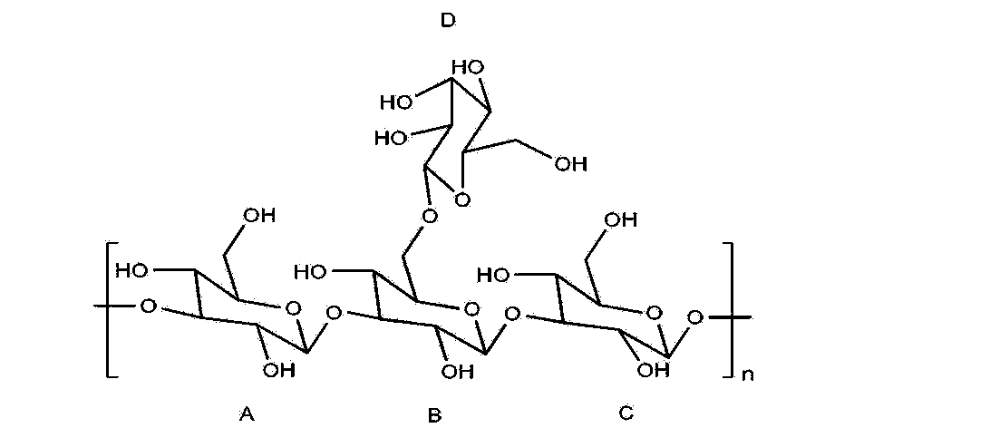
β-葡聚糖结构

β-葡聚糖结构式
图片尺寸421x357
【原料研究】β-葡聚糖,用粉的更划算
图片尺寸944x330
葡聚糖医美术后修复新选择
图片尺寸451x363
β-葡聚糖的测定方法
图片尺寸541x311
β-葡聚糖
图片尺寸200x200
β-1,3-葡聚糖,70%
图片尺寸600x600
β葡聚糖可有效抑制生活方式疾病
图片尺寸500x300
谷物中β-葡聚糖结构
图片尺寸455x213
β-d-葡聚糖来源于大麦(≥95%, reagent grade)
图片尺寸634x480
β-d-葡聚糖结构式
图片尺寸250x250
α-型葡萄糖和β-型的结构式
图片尺寸500x253
天津工生所1,3-1,4-β-d-葡聚糖酶的晶体结构研究获进展(图)
图片尺寸500x423
酵母β葡聚糖
图片尺寸480x194
beta-d-葡聚糖结构式图片
图片尺寸605x375
β13葡聚糖
图片尺寸300x300
硬葡聚糖 scleroglucan polysaccharide
图片尺寸354x153
羧甲基Β-葡聚糖钠
图片尺寸445x390
fitc标记羧甲基葡聚糖的结构式
图片尺寸344x329
一种灵芝β葡聚糖及其制备方法和用途
图片尺寸1092x472
β-葡聚糖,免疫,降糖控脂的明星原料|一周有料
图片尺寸640x448