∫cos²xdx

cos05α的图像_搜狗问问
图片尺寸500x250
xlnxdx为什么=05∫lnxdx05是公式么_百度知道
图片尺寸864x1152
(π/4,0)tan05xdx_百度知道
图片尺寸281x283
求不定积分∫(lnx)051/xdx_百度知道
图片尺寸592x1052
x05arctanxdx_百度知道
图片尺寸1600x1317
理科元素数学sin05α cos05α π 烤漆胸章简约学生创意礼物
图片尺寸1000x1000
极坐标方程ρ05cos2θ=1怎样化为直角坐标方程,过程!
图片尺寸459x816
【求正解,自己做,勿复制】已知函数f(x)=跟3sinwx*coswx cos05wx-1
图片尺寸1085x395
一屋两人三餐四季92我爱你 就像sin05a cos05a95始终如一
图片尺寸1080x1439
xtan05xdx的不定积分是什么?
图片尺寸600x628
姑苏魔都逛吃sin05αcos05α
图片尺寸441x544
y=2cos05(π/4-x/2)(x∈【0,2π】)的递减区间是?_百度知道
图片尺寸600x375
求不定积分∫x(√1 x05)dx
图片尺寸600x800
x05arcsinxdx_百度知道
图片尺寸306x226
如何求函数y=x05与函数y=x围成的面积?带步骤._百度知道
图片尺寸450x382
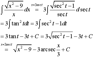
求∫根号x05-9/xdx的不定积分_360问答
图片尺寸328x200
求∫∫(d)xydσ,d是由y=1 x05,x=1,y=1及x=y05所围成的闭区域
图片尺寸422x365
x05e∧xdx是多少?怎么求?
图片尺寸220x247
是a,b,c的对边,那么有正弦函数:sina=a/c 余弦函数:cosa=b/c
图片尺寸1536x1952
1/√9-4x05dx结果中的1/2是怎么得来的_百度知道
图片尺寸744x992