一载百味简谱

笑对人生(黄永军词 杨琳曲)简谱-通俗曲谱-爱曲谱网
图片尺寸653x792
人生百味谁能不累每个人的一生都有一
图片尺寸1080x1920
我居然昨晚才发现准备周年庆了,对不起,我的确不是一个好玩家.
图片尺寸1080x1439
每日一诗——39.清平调词三首(其三)(唐 李白)
图片尺寸712x683
歌曲累了也想喝点酒的简谱歌谱下载
图片尺寸888x1256
人的一生酸甜苦辣
图片尺寸595x841![[种草r]人文主题:阅读策略阅读要有一定的速度.](https://i.ecywang.com/upload/1/img1.baidu.com/it/u=583728130,2109152619&fm=253&fmt=auto&app=138&f=JPEG?w=500&h=667)
[种草r]人文主题:阅读策略阅读要有一定的速度.
图片尺寸1080x1440
埙曲谱
图片尺寸699x683
药性赋四百味歌括十
图片尺寸1080x1439
江山无限 #每日一歌 #简谱视唱 #简谱
图片尺寸1080x1440
梁实秋:蓦然一惊,人生已过半
图片尺寸640x960
百味人生 电视系列短剧 百味人生 片头歌曲 刘梅 歌谱 简谱
图片尺寸876x1118
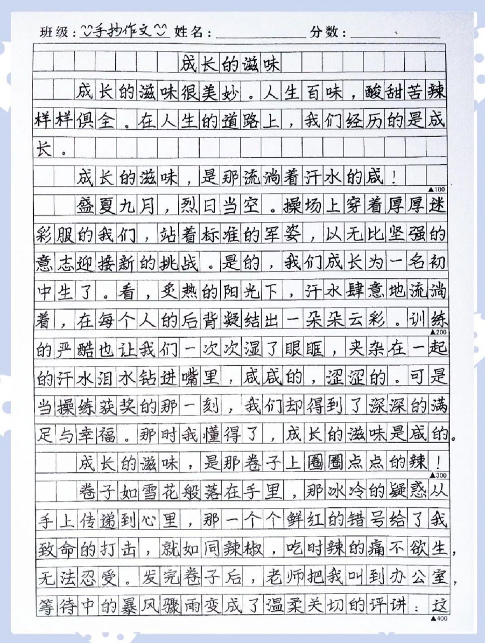
这篇作文写的太好了《成长的滋味》
图片尺寸967x1280
人生百味(电视系列短剧《人生百味》主题歌)简谱-民歌曲谱-爱曲谱网
图片尺寸856x992
简谱 第一时间
图片尺寸760x1307
每日一诗——38.清平调词三首(其二)(唐 李白)
图片尺寸644x511
每日一诗——64.贫交行(唐 杜甫)
图片尺寸641x793
假如……简谱歌词
图片尺寸4132x5847
百味斋书画印 引书楹联一幅.#书法作品欣赏 #传统文化 - 抖音
图片尺寸1440x2398
品味人生 歌谱简谱网
图片尺寸800x1185