丁腈橡胶结构式

丁腈橡胶生产工艺流程ppt
图片尺寸1080x810
丁腈橡胶结构式
图片尺寸605x375
丁腈橡胶的结构简式为
图片尺寸944x330
丁腈橡胶
图片尺寸268x103
丁腈橡胶
图片尺寸250x61
端羧基液态丁腈橡胶结构式图片
图片尺寸605x375
新型羧基液体丁腈橡胶结构式
图片尺寸1106x293
丁腈结构式
图片尺寸227x227
cn1514852a_低分子量氢化丁腈橡胶失效
图片尺寸709x532
反应式如下图: 第1页 word文档免费下载:图解浸胶(48)rf与丁腈橡胶的
图片尺寸893x338
液体氢化丁腈橡胶及其制备方法和应用与流程
图片尺寸587x516
液体橡胶
图片尺寸300x300
4氯正丁腈
图片尺寸484x300
催化剂组合物及它们的用于氢化丁腈橡胶的用途
图片尺寸1059x464
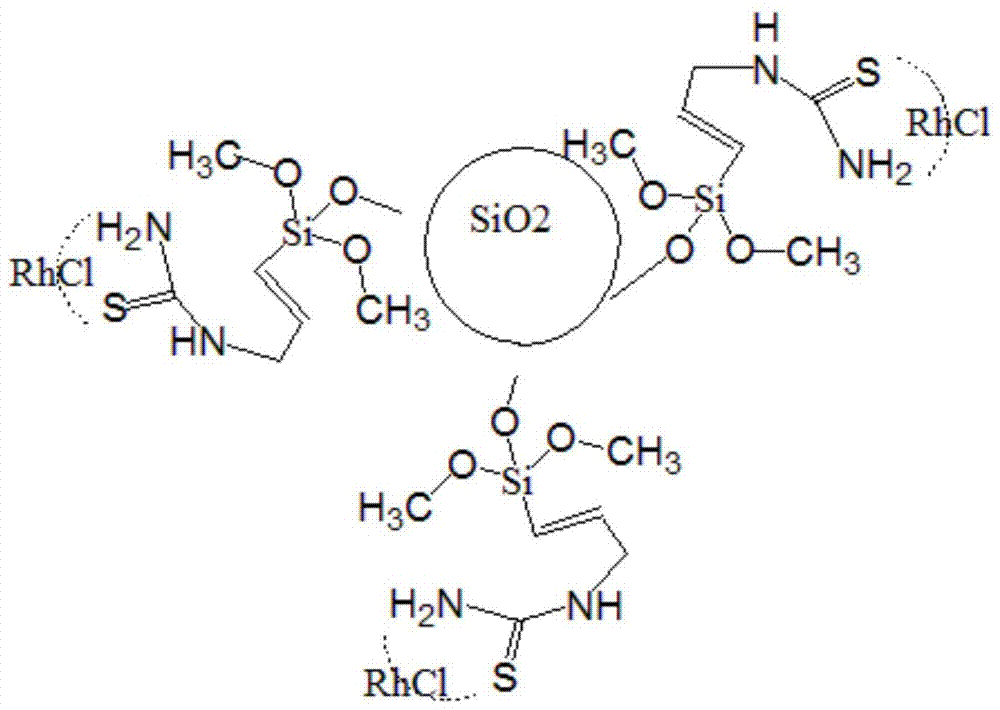
一种去除氢化丁腈橡胶中金属铑的方法
图片尺寸1000x710
化学结构式:化学分子式:英文名称:acrylonitrile-butadiene rubber
图片尺寸385x92![[0097] 来自通用结构式(iv)的其它合适的催化剂是具有通式(vi),(vii)](https://i.ecywang.com/upload/1/img0.baidu.com/it/u=3580502746,3037820476&fm=253&fmt=auto&app=138&f=JPEG?w=602&h=500)
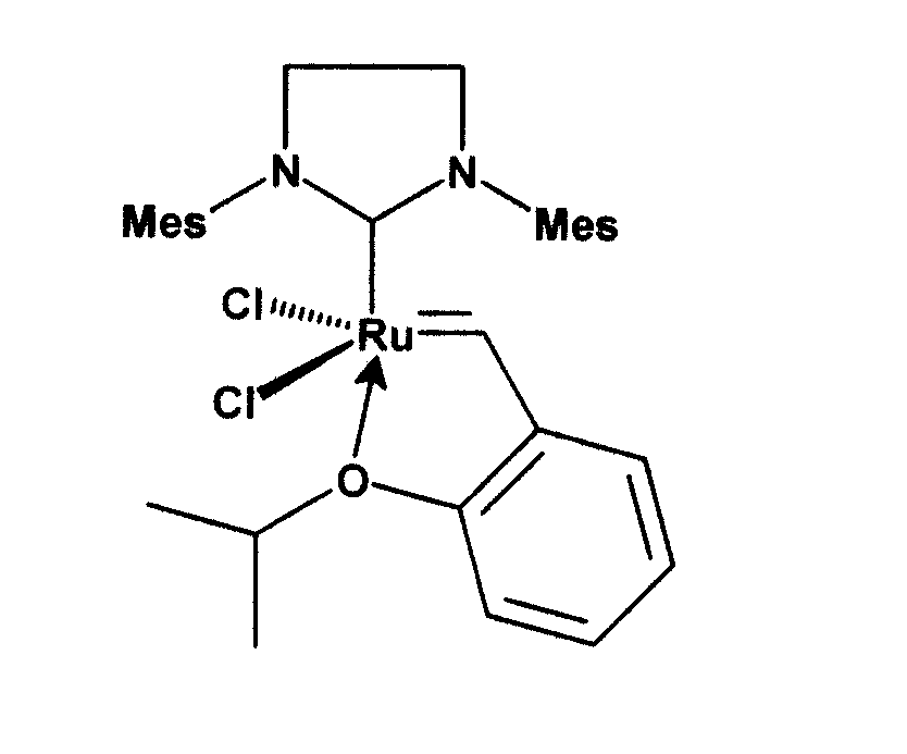
[0097] 来自通用结构式(iv)的其它合适的催化剂是具有通式(vi),(vii)
图片尺寸834x693
可使用n-环己基硫代邻苯二甲酰亚胺(pvi,结构式见图5)
图片尺寸650x527
丁腈橡胶化工
图片尺寸800x600
丁腈橡胶
图片尺寸630x300