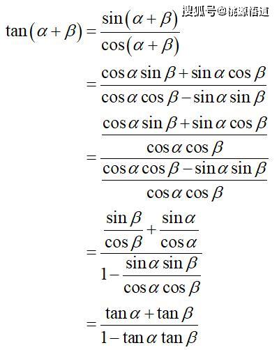
万能代换公式

万能代换公式并非万能苏教版通用
图片尺寸800x1131
高等数学§2.4 隐函数及由参数方程所定函数的导数
图片尺寸595x539
万能公式的介绍
图片尺寸238x237
等价无穷小替换公式 自用
图片尺寸1427x1280
重点等价无穷小只记住公式是远远不够的75
图片尺寸1080x1533
图中修改的万能置换公式怎么推导?
图片尺寸1040x780
用多种方法求三角有理式的积分
图片尺寸500x297
常用高等代数公式精简版
图片尺寸920x1302
一些等价无穷小 求极限必备好吗 #高数# #24考研
图片尺寸1280x1280
狗头公式-无穷小替换 升本必备 码了码了!
图片尺寸1431x1280
图片浏览
图片尺寸99x199
三角函数的万能代换式
图片尺寸399x331
不定积分知识结构图大一上学期高等数学知识整理第四章不定积分
图片尺寸1601x2193
等价无穷小代换公式
图片尺寸1080x1394
阅读理解万能公式6015直接背会替换04适合懒人 一天解锁一个专
图片尺寸1080x1440
轻松搞定高考数学数学三角函数代换公式大集锦
图片尺寸400x502
高等数学中的等价替换公式
图片尺寸920x1303
万能代换
图片尺寸193x126
2019考研高数换元积分法讲解万能代换
图片尺寸600x519
三角函数反三角函数公式大全经典实用
图片尺寸920x1302