三氮唑环

雷贝拉唑钠肠溶片(瑞波特)
图片尺寸1000x1000
宫内节育器三球型
图片尺寸1704x2272
后遗症,内耳眩晕症,冠状动脉硬化及由于末梢循环不良引起的疾病等治疗
图片尺寸1000x1000
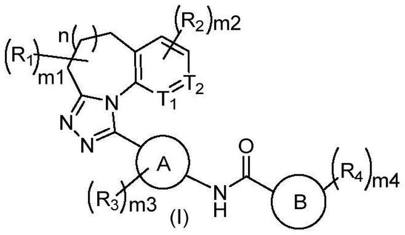
三氮唑类三并环衍生物及其制备方法和应用-爱企查
图片尺寸800x464
环扁桃酯胶囊
图片尺寸1000x1000
3-氨基-1,2,4-三氮唑
图片尺寸598x479
的点击化学与叠氮化物标记的分子或生物分子反应生成稳定的三氮唑连接
图片尺寸499x220
3,5-二氨基-1,2,4-三氮唑
图片尺寸363x225
中文名称: 2-[[(3ar,4s,6r,6as)-6-[7-氯-5-(丙硫基)-3h-1,2,3-三氮唑
图片尺寸400x326
公司信息
图片尺寸1000x700
ch3,或ch3ch2 等),1,3-三氮唑环 ch3, or ch3ch2, etc.
图片尺寸320x201
环氧化酶-2抑制剂应基于对个体患者风险的全面评估(参见【注意事项】)
图片尺寸1000x1000
镍铬合金细菌接种环inoculatingloop
图片尺寸384x576
商品名称:注射用环磷酰胺
图片尺寸900x900
123三氮唑
图片尺寸605x375
三氮唑钠盐生产厂家
图片尺寸750x750
苯骈三氮唑
图片尺寸450x400
三氮唑_三氮唑价格_优质三氮唑批发/采购商机 - 搜好货网
图片尺寸354x354
一种三氮唑的化合物制备方法以及其在制备防治癌症药物中的应用
图片尺寸714x330
3,5-二溴-1,2,4-三氮唑
图片尺寸242x137