三萜皂苷

图 1 三萜皂苷结构
图片尺寸1575x898
三萜皂苷化合物其合成方法及其应用
图片尺寸786x563
厂家批发零售 三萜皂苷 混凝土引气剂 三萜皂苷
图片尺寸750x750
多种用途 三萜皂苷 发泡剂 三铁皂苷 工业级三萜皂甙
图片尺寸800x800
大麻药中1个新的三萜皂苷
图片尺寸370x245
现货批发发泡剂三萜皂苷 公路桥梁砂浆混凝土外加剂工业三萜皂苷
图片尺寸800x800
三萜皂苷.jpg
图片尺寸551x246
三萜皂苷 引气剂三萜皂苷 混凝土引气剂三萜皂苷 25kg/袋 包邮
图片尺寸750x750
三萜皂苷 引气剂三萜皂苷 混凝土引气剂三萜皂苷 500克/袋 包邮
图片尺寸750x750
中药化学高频考点之三萜皂苷
图片尺寸560x488
现货供应258三萜皂甙黑升麻提取物抗菌
图片尺寸432x324
三萜皂苷ppt精选课件.ppt_第1页
图片尺寸920x690
三萜皂苷化合物在制备抗病原微生物药物中的应用
图片尺寸1406x576
p>人参皂苷(ginsenoside)是一类固醇类化合物,又称三萜皂苷.
图片尺寸1191x1132
cn107383143a_一种葫芦烷型三萜皂苷及其制备方法和应用在审
图片尺寸1000x956
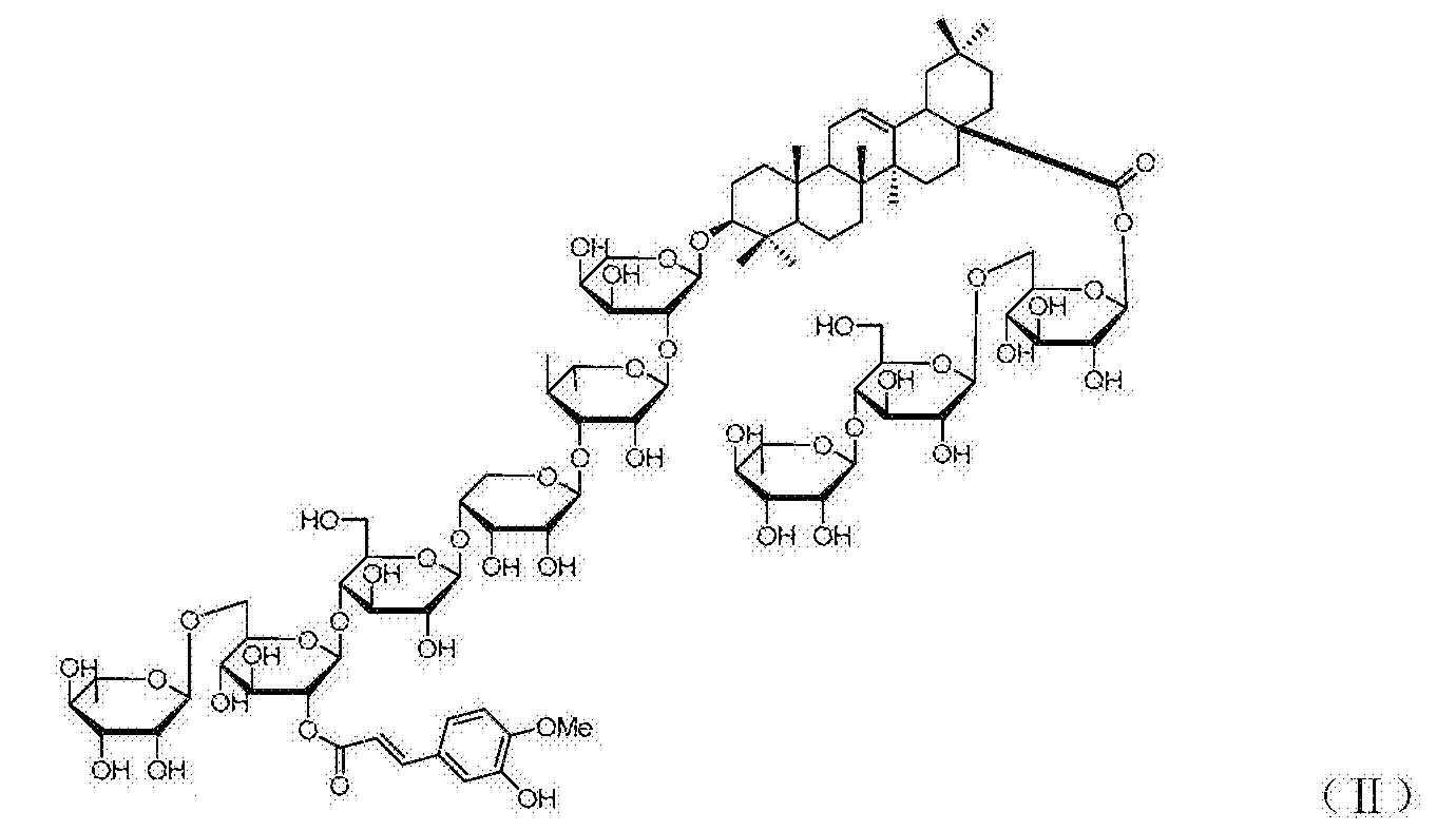
一种齐墩果烷型三萜皂苷类化合物及其制备方法和应用
图片尺寸1380x788
现货供应三萜皂苷混凝土引气剂砂浆添加用 三萜皂苷
图片尺寸800x800
三萜皂苷
图片尺寸524x700
大包装三萜皂苷 引气剂三萜皂苷 混凝土引气剂三萜皂苷25公斤/袋
图片尺寸800x800
三萜皂甙引气剂
图片尺寸700x525