三重积分求体积

数学三重积分求体积
图片尺寸379x443
三重积分求体积
图片尺寸725x354
积分区域为椭球体的三重积分快速解法
图片尺寸792x601
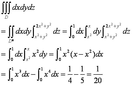
三重积分这个地方不懂
图片尺寸1783x2808
高等数学,算三重积分时,这种类似于球体的一部分的积分还能用柱面坐标
图片尺寸768x1024
求这道三重积分的详细过程
图片尺寸888x956
三重积分求z=√(x^2 y^2)与z=6-x^2-y^2围成的体积,做好有过程
图片尺寸320x437
三重积分求体积问题
图片尺寸450x384
三重积分,求过程
图片尺寸897x898
三重积分求体积关于上下限的问题,谢谢
图片尺寸400x600
三重积分计算
图片尺寸731x653
用球坐标求三重积分
图片尺寸990x896
2018考研数学:三重积分的计算方法总结
图片尺寸703x662
请问利用先重后单法计算三重积分时,如题所示,它那个二重积分部分是
图片尺寸1280x960
高数用三重积分求体积问题
图片尺寸1000x750
三重积分求下面曲面所围成的区域体积 z=x2 y2,z=2x2 y2,y=x,y=x2
图片尺寸553x356
用球坐标三重积分表示曲线 z=x2 y2与z=1围成的体积
图片尺寸568x654
高数三重积分,三四题,零基础求详解
图片尺寸779x725
高数 三重积分 求解答
图片尺寸720x1280
利用三重积分计算下列立体的体积 由抛物面z=2-x^2-y^2及圆锥面z=√x
图片尺寸1145x675