不等式图像

用图像法解下列不等式
图片尺寸780x916
基本不等式
图片尺寸3351x3020
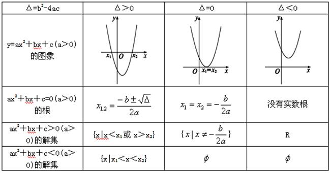
一元二次不等式
图片尺寸651x341
首先回顾一下一元二次方程的求根公式一元二次不等式的解以及图像2
图片尺寸901x560
画出不等式组{x-y 5大于等于0 x y大于等于o x小于等于3
图片尺寸2592x1944
不等式
图片尺寸1701x815
切线放缩:图解高中必须掌握的几款经典不等式
图片尺寸546x375
一元一次不等式 ,帮我把图象画出来
图片尺寸720x450
用图像解不等式
图片尺寸453x468
2013年高中数学(北师大版必修五)《321一元二次不等式的解法》课件
图片尺寸1080x810
所以,不等式组
图片尺寸874x811
高一不等式
图片尺寸239x289
用函数图象解法结不等式:5x 4 2x 10. 最好把图像也画出来
图片尺寸500x547![【观察下列图像,可以得出不等式组的解集是[]a.b.c.0 x≤2d.】作业帮](https://i.ecywang.com/upload/1/img0.baidu.com/it/u=2142118646,1449712198&fm=253&fmt=auto&app=138&f=GIF?w=231&h=171)
【观察下列图像,可以得出不等式组的解集是[]a.b.c.0 x≤2d.】作业帮
图片尺寸231x171
切线放缩:图解高中必须掌握的几款经典不等式
图片尺寸519x344
用图像解不等式
图片尺寸305x195
不等式求最小值 本题除了书上这种解法外,还可以根据对勾函数的图像
图片尺寸627x534
用图像法解不等式x的平方-5x-14>0
图片尺寸1008x754
急!解不等式|x'2 x-2| x 2
图片尺寸407x330
用图像的方法解不等式3x-2 -2x 3和方程3x-2=-2x 3.
图片尺寸683x384