不等式计算题 答案

八年级下册一元一次不等式组计算及答案
图片尺寸920x1302
含参数的一元二次不等式题(答案)
图片尺寸920x1300
不等式组计算题含答案pdf
图片尺寸800x1132
40道一元一次不等式组计算及答案
图片尺寸920x1303
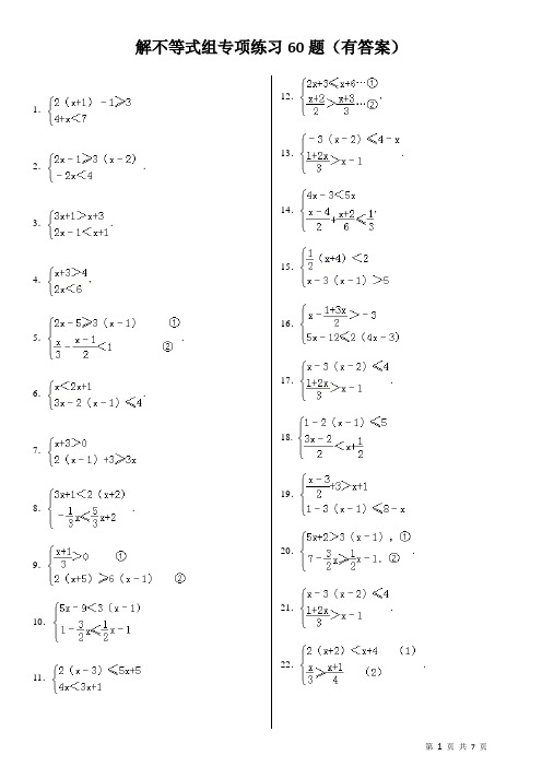
不等式组计算题100道及答案 - 百度文库
图片尺寸496x702
你们出30道不等式组,并做出来带过程给我
图片尺寸3264x2448
若不等式组3(x 1) 2x 3 x-1/3≤x/2的整数解是关于x的方程2x-4=ax的
图片尺寸519x770
100道一元一次不等式组及答案过程 - 百度文库
图片尺寸496x702
求学霸帮忙解不等式计算题,拍照给我过程要清晰正确,思路清晰,谢谢
图片尺寸719x1280
不等式组计算题100道及答案 - 百度文库
图片尺寸501x709
不等式组计算题100道及答案 - 百度文库
图片尺寸496x702
解下列不等式:(1)x2-2x>2x2 2 (2)1/2x2-1/3x 1/5>=0 最佳答案 sky
图片尺寸289x341
速求二元一次不等式组计算题 (带答案)
图片尺寸389x565
一元一次不等式 - 第99页 - 苏科版数学补充习题七年级上下册答案
图片尺寸1500x1875
不等式组计算题及答案 - 百度文库
图片尺寸496x702
怎么解不等式组,求答案
图片尺寸612x815
数学八年级题目,不等式组的解,求过程和答案,写在纸上,拜托
图片尺寸1024x768
解不等式1/|x|>x
图片尺寸1840x3264
一元一次方程计算100题73【含答案】 - 抖音
图片尺寸1080x1452
数学解不等式组怎么算
图片尺寸780x1040