不良率管制图

不良率管制图
图片尺寸383x254
不良率管制图(p)
图片尺寸1220x766
不良率管制图pchart及其实例
图片尺寸574x394
不良数管制图
图片尺寸407x277
不良数管制图
图片尺寸431x153
不良数管制图
图片尺寸482x178
不良率管制图n不一致
图片尺寸1172x693
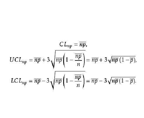
不良数管制图
图片尺寸490x400
管制图
图片尺寸2339x1654
不良数管制图
图片尺寸449x296
不良数管制图
图片尺寸282x167
管制图异常分析
图片尺寸443x302
不良数管制图
图片尺寸323x218
异常管制图分析
图片尺寸438x294
不良数管制图
图片尺寸436x201
不良数管制图
图片尺寸436x136
不良数管制图
图片尺寸348x175
17-03 p-chart管制图
图片尺寸1650x620
x-r过程管制图
图片尺寸1234x798
xbar-s管制图范例
图片尺寸1166x851